【药物名称】
化学结构式(Chemical Structure):
参考文献No.721745
标题:Pyrrolidine antagonists of the CCR3 chemokine receptor
作者:Rupprecht, K.M.; Baker, R.K.; Bao, J.; Chee, J.; Forbes, C.; Johanson, J.; Kaiser, F.; Meng, L.; Miao, S.; Daugherty, B.L.; Di Salvo, J.; Eierman, G.; Guan, Y.; Malkowitz, L.; Mudgett, J.S.; Pacholok, S.G.; Soares, M.P.; Wolfe, G.C.; Zhang, L.; et al.
来源:225th ACS Natl Meet (March 23 2003, New Orleans) 2003,Abst MEDI 250
合成路线图解说明:

Acid-catalyzed cycloaddition of the chiral acryloyl oxazolidine derivative (I) with amine (II) affords a diastereomeric mixture of trans pyrrolidines (III) and (IV). The desired isomer (IV) is then reduced by DIBAL to the intermediate aldehyde (V)

合成路线图解说明:

Alkylation of the spiro lactone (VI) with dibromide (VII) in the presence of lithium hexamethyldisilazide gives rise to the tricyclic spiro compound (VIII). After acidic Boc group cleavage in (VIII), the resultant secondary amine (IX) is reductively alkylated with aldehyde (V) to produce (X) as a diastereomeric mixture. Partial reduction of lactone (X) with DIBAL provides lactol (XI), which is further converted to nitrile (XII) upon treatment with cyanotrimethylsilane and boron trifluoride. Acidic hydrolysis of nitrile (XII), followed by esterification of the resultant carboxylic acid (XIII) furnishes the methyl ester (XIV)

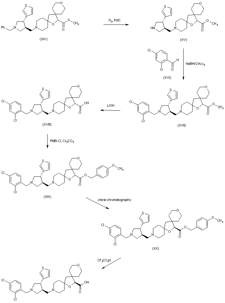
合成路线图解说明:

The N-benzyl group of (XIV) is removed by catalytic hydrogenolysis to yield the secondary amine (XV). Subsequent reductive alkylation of amine (XV) with 2,4-dichlorobenzaldehyde (XVI) leads to the dichlorobenzyl amine (XVII). After alkaline hydrolysis of the methyl ester (XVII), the obtained carboxylic acid (XVIII) is converted to the PMB ester (XIX) employing p-methoxybenzyl chloride and Cs2CO3. The diastereomeric mixture of PMB esters (XIX) is then chromatographically separated by means of a chiral column, and the desired isomer is finally deprotected with trifloroacetic acid to yield the target carboxylic acid

Drug Information Express,Drug R&D,Chemical Database,Patent Search.
Copyright © 2006-2026 Drug Future. All rights reserved.Contact Us