【药物名称】BMS-431051
化学结构式(Chemical Structure):
参考文献No.721747
标题:Selective Emt inhibitors: Discovery and SAR of 2-amino-[(5-thiomethyl)aryl]thiazoles
作者:Wityak, J.; Das, J.; Liu, C.; Lin, J.; Spergel, S.H.; Moquin, R.V.; Furch, J.A.; Doweiko, A.; Kanner, S.; Lin, T.-A.
来源:225th ACS Natl Meet (March 23 2003, New Orleans) 2003,Abst MEDI 257
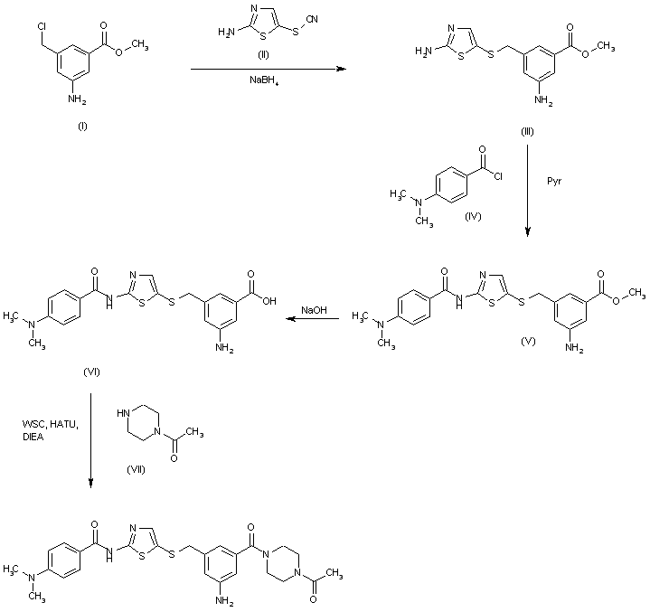
合成路线图解说明:

The reductocondensation of 3-amino-5-(chloromethyl)benzoic acid methyl ester (I) with 2-aminothiazol-5-ylisothiocyanate (II) by means of NaBH4 gives the thioether (III), which is condensed with 4-(dimethylamino)benzoyl chloride (IV) by means of pyridine in dichloromethane to yield the amide (V). The hydrolysis of the ester group of (V) with NaOH in methanol affords the corresponding carboxylic acid (VI), which is finally condensed with 1-acetylpiperazine (VII) by means of WSC, HATU and DIEA in THF to provide the target piperazide.

Drug Information Express,Drug R&D,Chemical Database,Patent Search.
Copyright © 2006-2026 Drug Future. All rights reserved.Contact Us