【药物名称】
化学结构式(Chemical Structure):
参考文献No.33988
标题:Heterocyclic derivs. as antidiabetic and antiobesity agents
作者:Adams, A.D.; Berger, J.P.; Berger, G.D.; Fitch, K.J.; Graham, D.W.; Jones, A.B.; Von Langen, D.; Leibowitz, M.D.; Moller, D.E.; Patchett, A.A.; Santini, C.; Sahoo, S.P.; Tolman, R.L.; Toupence, R.B.; Walsh, T.F. (Merck & Co., Inc.)
来源:EP 0882029; JP 2002503203; US 6090836; WO 9728137
合成路线图解说明:

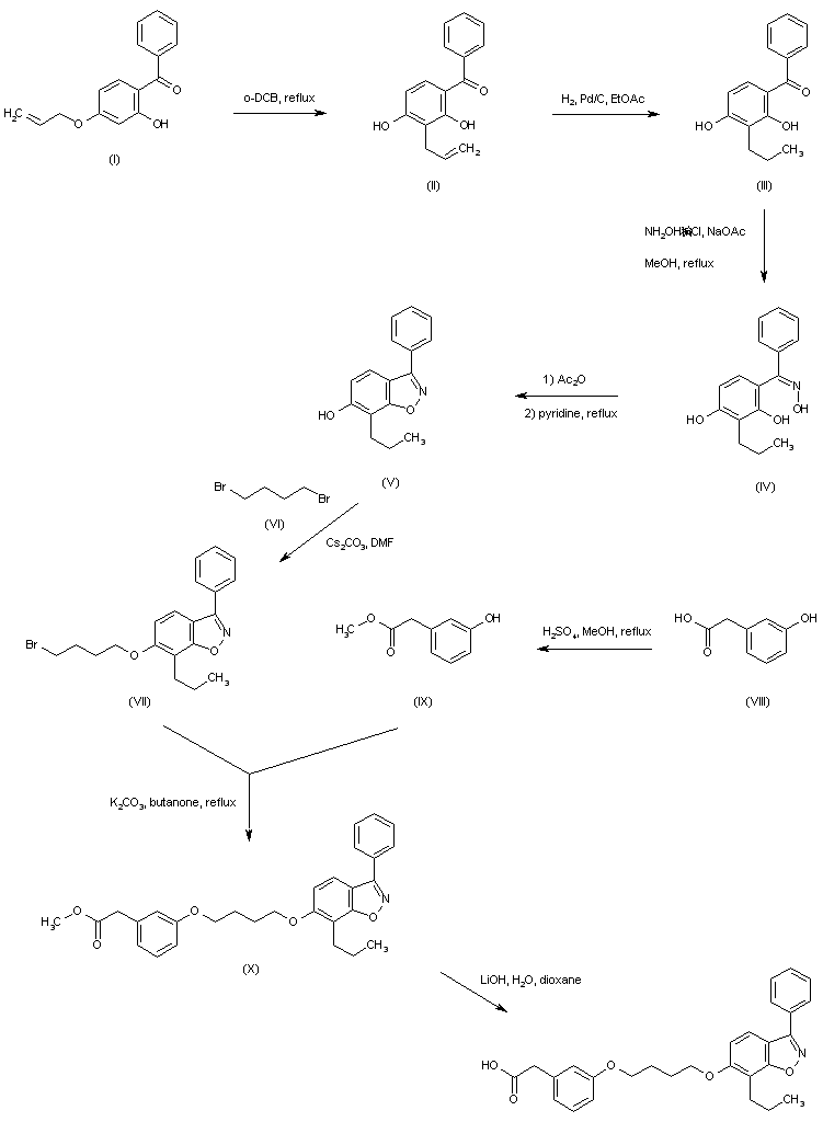
Claisen rearrangement of allyl ether (I) in refluxing o-dichlorobenzene affords (II). The allyl group of (II) is subsequently hydrogenated over Pd/C to provide the propyl derivative (III). Benzophenone (III) is converted into the corresponding oxime (IV) by means of hydroxylamine hydrochloride and NaOAc. Acetylation of oxime (IV), followed by refluxing in pyridine gives rise to the benzisoxazole (V). The phenolic hydroxyl group of (V) is then alkylated by 1,4-dibromobutane (VI) producing the bromobutyl ether (VII). 3-Hydroxyphenylacetic acid (VIII) is esterified with MeOH/H2SO4 to give the methyl ester (IX). This is then condensed with bromide (VII) in the presence of K2CO3 to furnish diether (X). Finally, saponification of the methyl ester group of (X) employing LiOH yields the target carboxylic acid (1,2)

参考文献No.722707
标题:Amphipathic 3-phenyl-7-propylbenzisoxazoles; human PPAR gamma, delta and alpha agonists
作者:Adams, A.D.; Yuen, W.; Hu, Z.; Santini, C.; Jones, A.B.; MacNaul, K.L.; Berger, J.P.; Doebber, T.W.; Moller, D.E.
来源:Bioorg Med Chem Lett 2003,13(5),931
合成路线图解说明:

Claisen rearrangement of allyl ether (I) in refluxing o-dichlorobenzene affords (II). The allyl group of (II) is subsequently hydrogenated over Pd/C to provide the propyl derivative (III). Benzophenone (III) is converted into the corresponding oxime (IV) by means of hydroxylamine hydrochloride and NaOAc. Acetylation of oxime (IV), followed by refluxing in pyridine gives rise to the benzisoxazole (V). The phenolic hydroxyl group of (V) is then alkylated by 1,4-dibromobutane (VI) producing the bromobutyl ether (VII). 3-Hydroxyphenylacetic acid (VIII) is esterified with MeOH/H2SO4 to give the methyl ester (IX). This is then condensed with bromide (VII) in the presence of K2CO3 to furnish diether (X). Finally, saponification of the methyl ester group of (X) employing LiOH yields the target carboxylic acid (1,2)

Drug Information Express,Drug R&D,Chemical Database,Patent Search.
Copyright © 2006-2026 Drug Future. All rights reserved.Contact Us