| 参考文献No. | 721215 |
| 标题: | Cyclic amidines as benzamide bioisosteres: EPC synthesis and SAR studies leading to the selective dopamine D4 receptor agonist FAUC 312 |
| 作者: | Einsiedel, J.; H黚ner, H.; Gmeiner, P. |
| 来源: | Bioorg Med Chem Lett 2003,13(5),851 |
 |
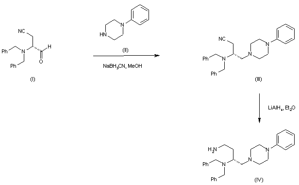
| 合成路线图解说明: The 1,3-diamine precursor (IV) can be prepared by two alternative ways. The chiral aminoaldehyde (I) is reductively aminated with N-phenylpiperazine (II) to furnish (III). Subsequent cyano group reduction in (III) with LiAlH4 leads to intermediate (IV). |
 |
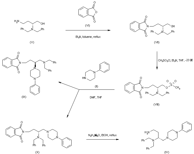
| 合成路线图解说明: Starting from diamino alcohol (V), protection of the primary amino group with phthalic anhydride (VI) produces phthalimide (VII). After conversion of the alcohol function into the corresponding mesylate (VIII), its condensation with N-phenylpiperazine (II) gives rise to the expected compound (X), along with minor amounts of its regioisomer (IX). Subsequent hydrazinolysis of (X) yields the desired primary amine (IV). |
 |
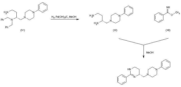
| 合成路线图解说明: The N-benzyl groups of (IV) are removed by hydrogenolysis over Pearlman's catalyst to furnish the deprotected 1,3-diamine (XI). This is finally condensed with methyl benzimidate (XII), giving the target cyclic amidine derivative. |