【药物名称】CP-8668
化学结构式(Chemical Structure):
参考文献No.36977
标题:Novel tetrahydrobenzindolone derivs.
作者:Okonogi, T.; Kurihara, K.; Tabata, Y.; Shinei, R.; Kurata, Y.; Tanabe, K. (Meiji Seika Kaisha, Ltd.)
来源:EP 0947507; US 6077840; WO 9827059
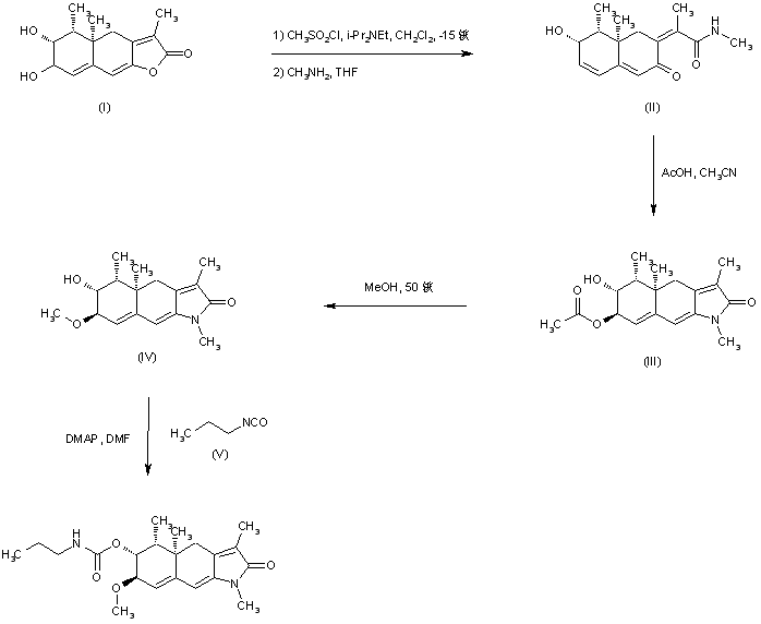
合成路线图解说明:

Treatment of lactone (I) with methanesulfonyl chloride, followed by reaction with methylamine furnishes amide (II). This is subsequently cyclized to the benzoindolone derivative (III) in the presence of AcOH in acetonitrile. The acetate group of (III) is then displaced by a methoxy group to give (IV) upon heating in MeOH. Finally, condensation of (IV) with propyl isocyanate (V) provides the title N-propyl carbamate.

Drug Information Express,Drug R&D,Chemical Database,Patent Search.
Copyright © 2006-2026 Drug Future. All rights reserved.Contact Us