【药物名称】NF-115
化学结构式(Chemical Structure):
参考文献No.60892
标题:Glycosides of N-acetyl-6-O-[2,2,-bis(hydroxymethyl)-3-hydroxypropyl]-D-glucosamine, method for the obtention thereof and their uses in the treatment of brain tumors
作者:Nieto Sampedro, M.; Bernabe Pajares, M.; Fernandez-Mayoralas Alvarez, A.; Vaquero Crespo, J.; Zurita Castillo, M. (CSIC (Consejo Superior de Investigaciones Cient韋icas); Hospital Universitario Puerta de Hierro)
来源:ES 2164013; WO 0179243
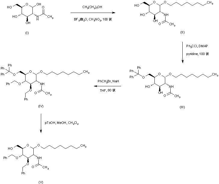
合成路线图解说明:

Condensation of N-acetyl-D-glucosamine (I) with n-octanol in the presence of boron trifluoride etherate affords the alpha-glycoside (II). Selective protection of the primary hydroxyl group of (II) with trityl chloride yields the O-trityl derivative (III), which is subsequently reacted with benzyl bromide to furnish the dibenzyl ether (IV). Then, O-trityl group cleavage under acidic conditions gives rise to the primary alcohol (V). (1,2)

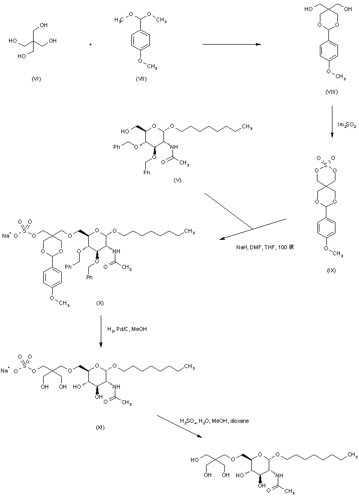
合成路线图解说明:

Pentaerythritol (VI) is condensed with anisaldehyde dimethylacetal (VII) to produce the pentaerythritol mono-benzylidene acetal (VIII). Subsequent reaction of diol (VIII) with sulfuryl diimidazole leads to the cyclic sulfate (IX) (1). Alkylation of alcohol (V) with sulfate (IX) in the presence of NaH gives rise to the ether adduct (X). Hydrogenolysis of the benzyl and benzylidene groups of (X) over Pd/C affords (XI). Finally, acid hydrolysis of the sulfate group in (XI) furnishes the target compound. (1,2)

参考文献No.720506
标题:Central neural tumor destruction by controlled release of a synthetic glycoside dispersed in a biodegradable polymeric matrix
作者:Fern醤dez-Mayoralas, A.; De la Figuera, N.; Zurita, M.; Vaquero, J.; Abraham, G.A.; San Rom醤, J.; Nieto-Sampedro, M.
来源:J Med Chem 2003,46(8),1286
合成路线图解说明:

Condensation of N-acetyl-D-glucosamine (I) with n-octanol in the presence of boron trifluoride etherate affords the alpha-glycoside (II). Selective protection of the primary hydroxyl group of (II) with trityl chloride yields the O-trityl derivative (III), which is subsequently reacted with benzyl bromide to furnish the dibenzyl ether (IV). Then, O-trityl group cleavage under acidic conditions gives rise to the primary alcohol (V). (1,2)

合成路线图解说明:

Pentaerythritol (VI) is condensed with anisaldehyde dimethylacetal (VII) to produce the pentaerythritol mono-benzylidene acetal (VIII). Subsequent reaction of diol (VIII) with sulfuryl diimidazole leads to the cyclic sulfate (IX) (1). Alkylation of alcohol (V) with sulfate (IX) in the presence of NaH gives rise to the ether adduct (X). Hydrogenolysis of the benzyl and benzylidene groups of (X) over Pd/C affords (XI). Finally, acid hydrolysis of the sulfate group in (XI) furnishes the target compound. (1,2)

Drug Information Express,Drug R&D,Chemical Database,Patent Search.
Copyright © 2006-2026 Drug Future. All rights reserved.Contact Us