【药物名称】
化学结构式(Chemical Structure):
参考文献No.719678
标题:Novel, highly potent aldose reductase inhibitors: Cyano(2-oxo-2,3-dihydroindol-3-yl)acetic acid derivatives
作者:Da Settimo, F.; Primofiore, G.; Da Settimo, A.; La Motta, C.; Simorini, F.; Novellino, E.; Greco, G.; Lavecchia, A.; Boldrini, E.
来源:J Med Chem 2003,46(8),1419
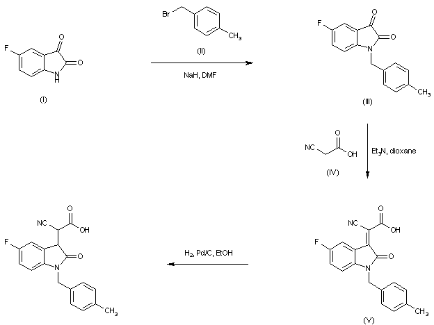
合成路线图解说明:

5-Fluoroisatin (I) is alkylated with 4-methylbenzyl bromide (II) in the presence of NaH to afford the N-benzyl isatin derivative (III). Then, Knoevenagel condensation of isatin (III) with cyanoacetic acid (IV) by means of triethylamine in dioxane gives the indolinylidene adduct (V) as a mixture of E and Z isomers. Subsequent catalytic hydrogenation of (V) over Pd/C then furnishes the target compound

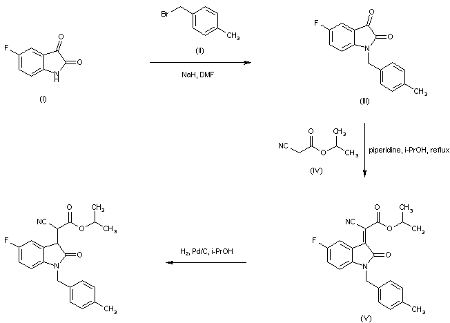
合成路线图解说明:

5-Fluoroisatin (I) is alkylated with 4-methylbenzyl bromide (II) in the presence of NaH to afford the N-benzyl isatin derivative (III). Then, Knoevenagel condensation of isatin (III) with isopropyl cyanoacetate (IV) by means of piperidine in isopropanol gives the indolinylidene adduct (V) as a mixture of E and Z isomers. Subsequent catalytic hydrogenation of (V) over Pd/C then furnishes the target compound

Drug Information Express,Drug R&D,Chemical Database,Patent Search.
Copyright © 2006-2026 Drug Future. All rights reserved.Contact Us