【药物名称】SPI-376, NEO-376
化学结构式(Chemical Structure):
参考文献No.60480
标题:Tetrahydroindolone and purine derivs. linked to arylpiperazines
作者:Foreman, M.M.; Helton, D.R.; Glasky, A.J.; Fick, D.B. (Spectrum Pharmaceuticals, Inc.)
来源:WO 0311396
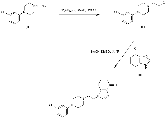
合成路线图解说明:

N-(3-Chlorophenyl)piperazine (I) is alkylated with 1-bromo-2-chloroethane in the presence of NaOH in DMSO to afford the (2-chloroethyl)piperazine (II). Subsequent condensation of alkyl chloride (II) with 4,5,6,7-tetrahydro-1H-indol-4-one (III) gives rise to the title compound

Drug Information Express,Drug R&D,Chemical Database,Patent Search.
Copyright © 2006-2026 Drug Future. All rights reserved.Contact Us