【药物名称】(S)-4?(CH3O)-DADFT
化学结构式(Chemical Structure):
参考文献No.723246
标题:Methoxylation of desazadesferrithiocin analogues: Enhanced iron clearing efficiency
作者:Bergeron, R.J.; Wiegand, J.; McManis, J.S.; Bussenius, J.; Smith, R.E.; Weimar, W.R.
来源:J Med Chem 2003,46(8),1470
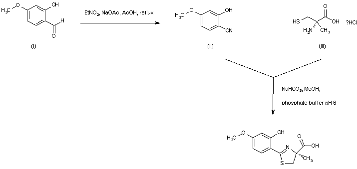
合成路线图解说明:

Heating 2-hydroxy-4-methoxybenzaldehyde (I) with nitroethane and sodium acetate in AcOH furnishes 2-hydroxy-4-methoxybenzonitrile (II). This is then condensed with D-alpha-methylcysteine旽Cl (III) in the presence of pH 6 phosphate buffer to generate the target thiazoline.

Drug Information Express,Drug R&D,Chemical Database,Patent Search.
Copyright © 2006-2026 Drug Future. All rights reserved.Contact Us