【药物名称】
化学结构式(Chemical Structure):
参考文献No.45766
标题:Aryl amidines, compsns. containing such cpds. and methods of use
作者:Curtis, N.R.; Kulagowski, J.; Liverton, N.J.; Claiborne, C.F.; Libby, B. (Merck & Co., Inc.)
来源:EP 1178792; JP 2002544162; US 6319944; WO 0067751
合成路线图解说明:

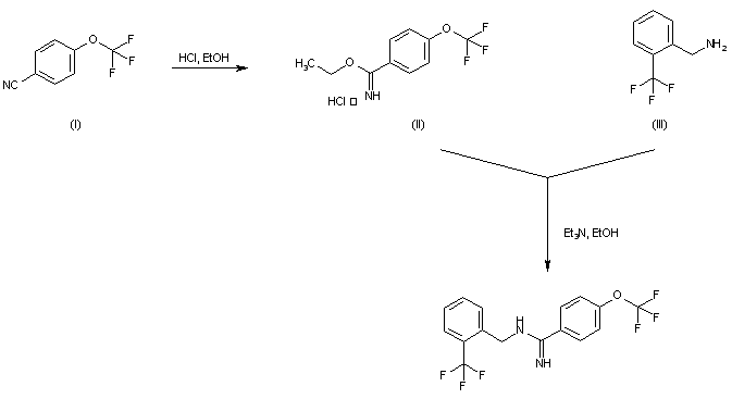
4-Trifluoromethoxybenzonitrile (I) is converted to the corresponding imidate (II) with an ethanolic solution of HCl. Condensation of imidate (II) with 2-trifluoromethylbenzylamine (III) furnishes the target amidine. (1,2)

参考文献No.719041
标题:Orally efficacious NR2B-selective NMDA receptor antagonists
作者:Claiborne, C.F.; McCauley, J.A.; Libby, B.E.; Curtis, N.R.; Diggle, H.J.; Kulagowski, J.J.; Michelson, S.R.; Anderson, K.D.; Claremon, D.A.; Freidinger, R.M.; Bednar, R.A.; Mosser, S.D.; Gaul, S.L.; Connolly, T.M.; Condra, C.L.; Bednar, B.; et al.
来源:Bioorg Med Chem Lett 2003,13(4),697
合成路线图解说明:

4-Trifluoromethoxybenzonitrile (I) is converted to the corresponding imidate (II) with an ethanolic solution of HCl. Condensation of imidate (II) with 2-trifluoromethylbenzylamine (III) furnishes the target amidine. (1,2)

Drug Information Express,Drug R&D,Chemical Database,Patent Search.
Copyright © 2006-2026 Drug Future. All rights reserved.Contact Us