【药物名称】SB-691673
化学结构式(Chemical Structure):
参考文献No.718495
标题:Identification of a novel series of selective 5-HT7 receptor antagonists
作者:Forbes, I.T.; Cooper, D.G.; Dodds, E.K.; Douglas, S.E.; Gribble, A.D.; Ife, R.J.; Lightfoot, A.P.; Meeson, M.; Campbell, L.P.; Coleman, T.; Riley, G.J.; Thomas, D.R.
来源:Bioorg Med Chem Lett 2003,13(6),1055
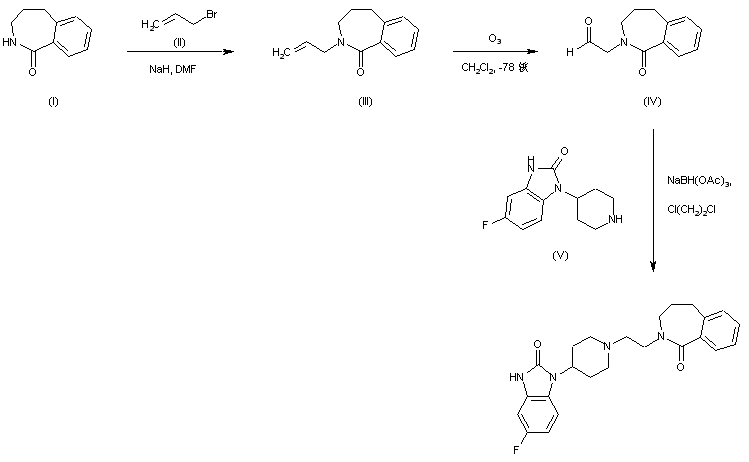
合成路线图解说明:

Benzazepinone (I) is alkylated by allyl bromide (II) in the presence of NaH to furnish (III). Ozonolysis of the N-allyl group of (III) in cold CH2Cl2 then produces aldehyde (IV). This is then reductively aminated with 5-fluoro-1-(piperidin-4-yl)-2,3-dihydro-1H-benzimidazol-2-one (V) employing NaBH(OAc)3 in 1,2-dichloroethane to yield the title compound.

Drug Information Express,Drug R&D,Chemical Database,Patent Search.
Copyright © 2006-2026 Drug Future. All rights reserved.Contact Us