【药物名称】LaaMII
化学结构式(Chemical Structure):
参考文献No.721085
标题:Synthesis, structure elucidation, in vitro biological activity, toxicity, and caco-2 cell permeability of lipophilic analogues of alpha-conotoxin MII
作者:Blanchfield, J.T.; Dutton, J.L.; Hogg, R.C.; Gallagher, O.P.; Craik, D.J.; Jones, A.; Adams, D.J.; Lewis, R.J..; Alewood, P.F.; Toth, I.
来源:J Med Chem 2003,46(7),1266
合成路线图解说明:

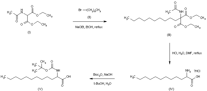
Alkylation of diethyl acetamidomalonate (I) with 1-bromodecane (II) affords malonate (III). Subsequent hydrolysis and decarboxylation of (III) under acidic conditions leads to 2-aminododecanoic acid (IV). This is then protected as the N-Boc derivative (V) upon treatment with Boc2O and NaOH

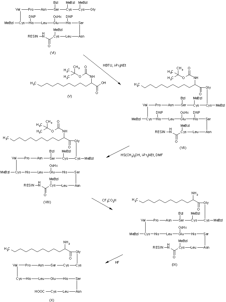
合成路线图解说明:

The protected peptide-bound resin (VI) is prepared by solid-phase synthesis on a p-methylbenzhydrylamine resin, using HBTU/DIEA activation. Coupling of 2-(Boc-amino)dodecanoic acid (V) to the peptide resin (VI) by means of HBTU affords amide (VII). The DNP protecting groups of the histidine residues of (VII) are subsequently removed by treatment with 2-mercaptoethanol to provide (VIII). Further acidic cleavage of the N-terminal Boc group of (VIII) with trifluoroacetic acid leads to resin (IX). The linear peptide (X) is then cleaved from the resin by treatment with liquid (HF) in the presence of p-thiocresol

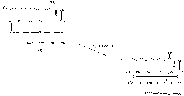
合成路线图解说明:

Finally, air oxidation of the linear peptide (X) in a dilute solution of ammonium bicarbonate at pH 8 furnishes the desired bis-disulfide compound

Drug Information Express,Drug R&D,Chemical Database,Patent Search.
Copyright © 2006-2026 Drug Future. All rights reserved.Contact Us