【药物名称】
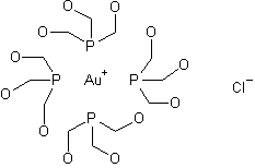
化学结构式(Chemical Structure):
参考文献No.61126
标题:Gold-containing chemotherapeutic agents
作者:Kamei, H.; Katti, K.V.; Volkert, W.A.; Hoffman, T.J. (University of Missouri)
来源:WO 0078306
合成路线图解说明:

Treatment of an aqueous solution of sodium tetrachloroaurate (I) with an excess of tris(hydroxymethyl)phosphine (II) causes the reduction from gold(III) to gold(I) oxidation state, with concomitant complexation with the phosphine to produce the target tetrakis(phosphine) gold complex. (1,2)

参考文献No.721074
标题:In vitro and in vivo antitumor properties of tetrakis((trishydroxy-methyl)phosphine)gold(I) chloride
作者:Pillarsetty, N.; Katti, K.K.; Hoffman, T.J.; Volkert, W.A.; Katti, K.V.; Kamei, H.; Koide, T.
来源:J Med Chem 2003,46(7),1130
合成路线图解说明:

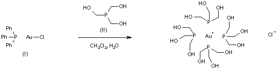
In an alternative method, triphenylphosphinegold(I) chloride (I) is complexed to tris(hydroxymethyl)phosphine (II) to furnish the title compound.

参考文献No.725452
标题:Hydroxymethyl functionalized phosphanes as building blocks to new water-soluble gold(I) complexes - Synthesis, characterization, and X-ray crystal structures of novel tetrahedral [Au{P(CH2OH)3}4]+ and trigonal planar Au(Ph2PCH2OH)3]+ gold(I) complexes
作者:Berning, D.E.; Katti, K.V.; Barnes, C.L.; Volkert, W.A.
来源:Chem Ber 1997,130(7),907
合成路线图解说明:

Treatment of an aqueous solution of sodium tetrachloroaurate (I) with an excess of tris(hydroxymethyl)phosphine (II) causes the reduction from gold(III) to gold(I) oxidation state, with concomitant complexation with the phosphine to produce the target tetrakis(phosphine) gold complex. (1,2)

Drug Information Express,Drug R&D,Chemical Database,Patent Search.
Copyright © 2006-2026 Drug Future. All rights reserved.Contact Us