【药物名称】F-13640
化学结构式(Chemical Structure):
参考文献No.36668
标题:Pyridin-2-yl-methylamine derivs., method of preparing and application as medicine
作者:Vacher, B.; Bonnaud, B.; Koek, W. (Pierre Fabre M閐icament)
来源:EP 0946546; JP 2001504129; US 6020345; WO 9822459
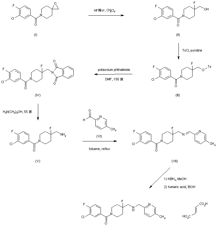
合成路线图解说明:

Acylation of 4-piperidone ethylene ketal (I) with 3-chloro-4-fluorobenzoyl chloride (II) in the presence of Et3N gave amide (III). After ketal hydrolysis of (III) using 80% formic acid and CuSO4, treatment of the resulting N-acyl piperidone (IV) with dimethyloxosulfonium methylide provided epoxide (V). Subsequent ring opening of (V) with HF-pyridine complex afforded the fluoro alcohol (VI), which was converted to tosylate (VII). Then, Gabriel synthesis via the corresponding phthalimide (VIII) produced amine (IX). The pyridine-2-carboxaldehyde (XII) was prepared by reduction of ethyl 6-chloro-5-methylpyridine-2-carboxylate (X) with NaBH4, followed by displacement of the chloro group by ethanolic methylamine in a sealed vessel at 100 C yielding pyridinealcohol (XI), which was further oxidized to the desired aldehyde (XII) using MnO2. The title compound was then obtained by condensation of amine (IX) with aldehyde (XII), followed by reduction of the intermediate imine with KBH4 in MeOH.

合成路线图解说明:

Ring opening of epoxide (I) with hydrogen fluoride-pyridine complex affords the fluorohydrin (II). After conversion of (II) to the corresponding tosylate (III), reaction with potassium phthalimide in boiling DMF furnishes the substituted phthalimide (IV). Hydrolysis of phthalimide (IV) in hot ethanolamine gives rise to the primary amine (V). Condensation of (V) with 5-methylpyridine-2-carbaldehyde (VI) leads to imine (VII). Finally, reduction of imine (VII) to the corresponding amine with methanolic KBH4, followed by conversion to the fumarate salt provides the title compound.

参考文献No.66312
标题:Synthesis method and intermediates of pyridin-2-yl-methylamine
作者:Bonnaud, B.; Maurel, J.-L.; Vacher, B.; Ribet, J.-P. (Pierre Fabre M閐icament)
来源:WO 0264585
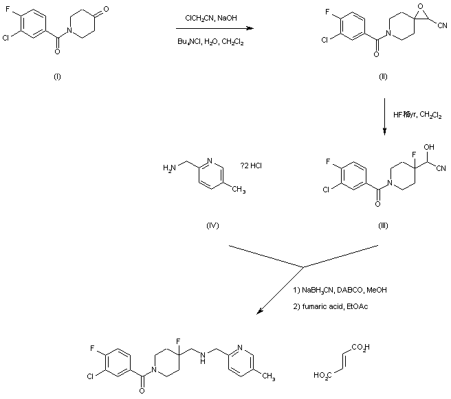
合成路线图解说明:

In an alternative, shorter route, 1-(3-chloro-4-fluorobenzoyl)-4-piperidinone (I) is subjected to Darzens condensation with chloroacetonitrile in the presence of NaOH and a phase-transfer catalyst to furnish the epoxy nitrile (II). Epoxide opening in (II) with HF-pyridine gives rise to the fluoro hydroxy nitrile (III). This is finally condensed with (5-methylpyridin-2-yl)methylamine (IV) under reductive amination conditions to produce the title compound.

Drug Information Express,Drug R&D,Chemical Database,Patent Search.
Copyright © 2006-2026 Drug Future. All rights reserved.Contact Us