【药物名称】RO-66-0074
化学结构式(Chemical Structure):
参考文献No.40007
标题:Benzosulfone derivs.
作者:Hunkeler, W.; B鰏, M.; Riemer, C. (F. Hoffmann-La Roche AG)
来源:CA 2258454; EP 0930302; JP 2000053635; US 5990105
合成路线图解说明:

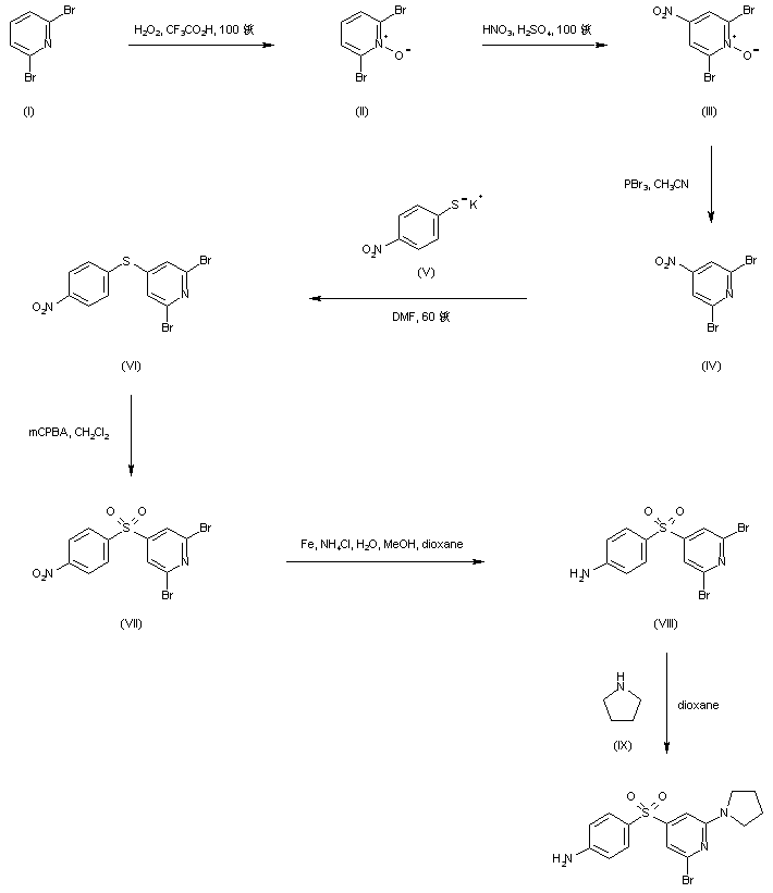
2,6-Dibromopyridine (I) is converted to its N-oxide (II), which undergoes electrophilic nitration at position 4 with HNO3/H2SO4 to yield compound (III). Subsequent selective reduction of the N-oxide group of (III) to afford 2,6-dibromo-4-nitropyridine (IV) is accomplished by treatment with PBr3 in acetonitrile (1). Nucleophilic displacement of the 4-nitro group of (IV) with potassium p-nitrothiophenoxide (V) leads to sulfide (VI). This is oxidized to sulfone (VII) with m-chloroperbenzoic acid, and followed by reduction of the nitro group of (VII) to amine (VIII) with Fe and NH4Cl. Finally, displacement of one bromo substituent of (VIII) with pyrrolidine (IX) in dioxane gives rise to the title pyrrolidinylpyridine derivative (1,2).

参考文献No.721086
标题:Influence of the 5-HT6 receptor on acetylcholine release in the cortex: Pharmacological characterization of 4-(2-bromo-6-pyrrolidin-1-ylpyridine-4-sulfonyl)phenylamine, a potent and selective 5-HT6 receptor antagonist
作者:Riemer, C.; Borroni, E.; Levet-Trafit, B.; Martin, J.R.; Poli, S.; Porter, R.H.P.; B鰏, M.
来源:J Med Chem 2003,46(7),1273
合成路线图解说明:

2,6-Dibromopyridine (I) is converted to its N-oxide (II), which undergoes electrophilic nitration at position 4 with HNO3/H2SO4 to yield compound (III). Subsequent selective reduction of the N-oxide group of (III) to afford 2,6-dibromo-4-nitropyridine (IV) is accomplished by treatment with PBr3 in acetonitrile (1). Nucleophilic displacement of the 4-nitro group of (IV) with potassium p-nitrothiophenoxide (V) leads to sulfide (VI). This is oxidized to sulfone (VII) with m-chloroperbenzoic acid, and followed by reduction of the nitro group of (VII) to amine (VIII) with Fe and NH4Cl. Finally, displacement of one bromo substituent of (VIII) with pyrrolidine (IX) in dioxane gives rise to the title pyrrolidinylpyridine derivative (1,2).

Drug Information Express,Drug R&D,Chemical Database,Patent Search.
Copyright © 2006-2026 Drug Future. All rights reserved.Contact Us