【药物名称】
化学结构式(Chemical Structure):
参考文献No.48584
标题:Novel quinazoline derivs.
作者:Matsumoto, M.; Isobe, Y.; Nagasaki, T.; Obara, F.; Tobe, M.; Tomizawa, H. (Japan Energy Corp.)
来源:EP 1229025; WO 0125218
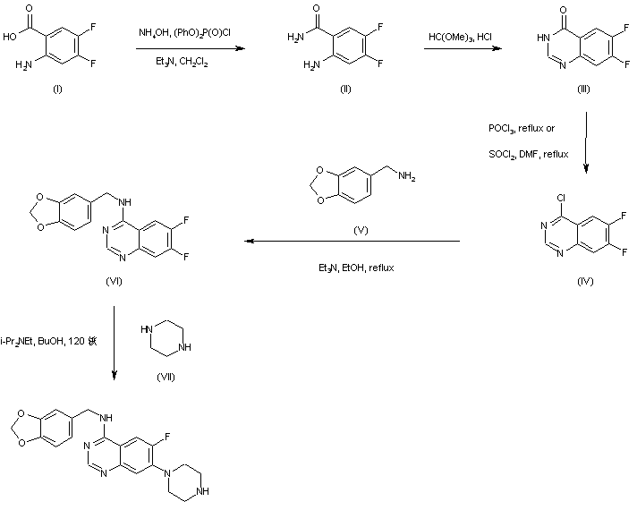
合成路线图解说明:

4,5-Difluoroanthranilic acid (I) is coupled with ammonium hydroxide upon activation with diphenylphosphoryl chloride to furnish the amino benzamide (II) (1). Subsequent cyclization of anthranilamide (II) with trimethyl orthoformate produces quinazolone (III), which is converted into the chloroquinazoline (IV) by using either POCl3 or SOCl2. Condensation of (IV) with 3,4-methylenedioxy-benzylamine (V) affords the aminoquinazoline derivative (VI). Then, regioselective displacement of the 7-fluorine atom in (VI) with piperazine (VII) in hot 1-butanol gives rise to the title compound (1,2).

参考文献No.717271
标题:Structure-activity relationships of 6-fluoroquinazolines: Dual-acting compounds with inhibitory activities toward both TNF-alpha production and T cell proliferation
作者:Tobe, M.; Isobe, Y.; Tomizawa, H.; Nagasaki, T.; Obara, F.; Hayashi, H.
来源:Bioorg Med Chem 2003,11(4),609
合成路线图解说明:

4,5-Difluoroanthranilic acid (I) is coupled with ammonium hydroxide upon activation with diphenylphosphoryl chloride to furnish the amino benzamide (II) (1). Subsequent cyclization of anthranilamide (II) with trimethyl orthoformate produces quinazolone (III), which is converted into the chloroquinazoline (IV) by using either POCl3 or SOCl2. Condensation of (IV) with 3,4-methylenedioxy-benzylamine (V) affords the aminoquinazoline derivative (VI). Then, regioselective displacement of the 7-fluorine atom in (VI) with piperazine (VII) in hot 1-butanol gives rise to the title compound (1,2).

Drug Information Express,Drug R&D,Chemical Database,Patent Search.
Copyright © 2006-2026 Drug Future. All rights reserved.Contact Us