【药物名称】
化学结构式(Chemical Structure):
参考文献No.717267
标题:Importance of the thiomorpholine introduction in new pyrrole derivatives as antimycobacterial agents analogues of BM 212
作者:Biava, M.; Porretta, G.C.; Deidda, D.; Pompei, R.; Tafi, A.; Manetti, F.
来源:Bioorg Med Chem 2003,11(4),515
合成路线图解说明:

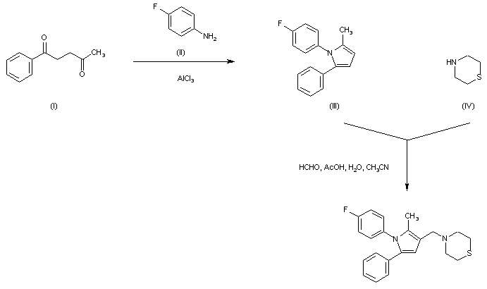
Condensation between 1-phenyl-1,4-pentanedione (I) and 4-fluoroaniline (II) under Paal-Knorr reaction conditions provides the pyrrole derivative (III). This is then subjected to Mannich reaction with thiomorpholine (IV) and formaldehyde to furnish the target thiomorpholimomethyl pyrrole.

Drug Information Express,Drug R&D,Chemical Database,Patent Search.
Copyright © 2006-2026 Drug Future. All rights reserved.Contact Us