【药物名称】
化学结构式(Chemical Structure):
参考文献No.48574
标题:Novel diarylamide derivs. and use thereof as medicines
作者:Takaku, H.; Isobe, Y.; Ogita, H. (Japan Energy Corp.)
来源:EP 1229010; WO 0125190
合成路线图解说明:

Acylation of 2-amino-4,5-dimethoxyacetophenone (I) with 4-nitrocinnamoyl chloride (II) affords amide (III). Simultaneous double bond hydrogenation and nitro group reduction in (III) with hydrogen and Pd/C leads to aniline (IV). This is finally condensed with 4-nitrophenyl isocyanate (V) in the presence of DMAP to produce the corresponding urea

合成路线图解说明:

Fischer esterification of 4,5-dimethoxy-2-nitrobenzoic acid (I) with H2SO4 in EtOH affords the corresponding ethyl ester (II). Subsequent nitro group reduction in (II) by hydrogenation over Pd/C provides amino ester (III) (1). Acylation of (III) with 4-nitrocinnamoyl chloride (IV) furnishes amide (V). Simultaneous double bond hydrogenation and nitro group reduction in (V) with H2 and Pd/C leads to amine (VI). This is finally coupled with 4-nitrophenyl isocyanate (VII) in the presence of DMAP to yield the target diaryl urea derivative (1,2).

参考文献No.716978
标题:Synthesis of potent and selective inhibitors against the proliferation of human coronary artery smooth muscle cells
作者:Ogita, H.; Isobe, Y.; Takaku, H.; Sekine, R.; Goto, Y.; Misawa, S.; Hayashi, H.
来源:Chem Pharm Bull 2003,51(2),117
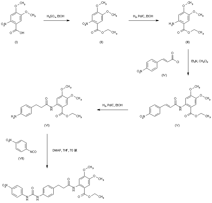
合成路线图解说明:

Fischer esterification of 4,5-dimethoxy-2-nitrobenzoic acid (I) with H2SO4 in EtOH affords the corresponding ethyl ester (II). Subsequent nitro group reduction in (II) by hydrogenation over Pd/C provides amino ester (III) (1). Acylation of (III) with 4-nitrocinnamoyl chloride (IV) furnishes amide (V). Simultaneous double bond hydrogenation and nitro group reduction in (V) with H2 and Pd/C leads to amine (VI). This is finally coupled with 4-nitrophenyl isocyanate (VII) in the presence of DMAP to yield the target diaryl urea derivative (1,2).

Drug Information Express,Drug R&D,Chemical Database,Patent Search.
Copyright © 2006-2026 Drug Future. All rights reserved.Contact Us