【药物名称】
化学结构式(Chemical Structure):
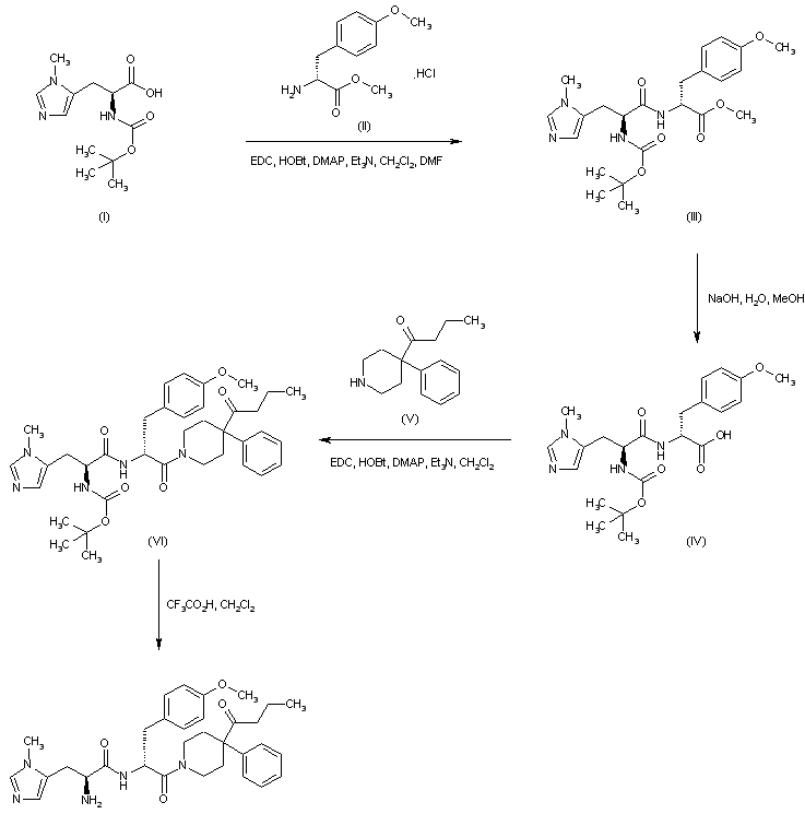
参考文献No.57570
标题:Cpds. useful as modulators of melanocortin receptors and pharmaceutical compsns. comprising same
作者:Poindexter, G.S.; Ruediger, E.H.; Ruel, R.; Lawrence, R.M.; Yu, G.; Macor, J.; Morton, G.C.; Thibault, C.; Herpin, T. (Bristol-Myers Squibb Co.)
来源:EP 1363631; EP 1363898; WO 0270511; WO 0279146
合成路线图解说明:

The title compound has been synthesized by two related methods. Coupling of N-Boc-L-methylhistidine (I) with D-4-methoxyphenylalanine methyl ester (II) employing EDC/HOBt affords the protected dipeptide (III). Subsequent saponification of the methyl ester (III) leads to carboxylic acid (IV). This is then coupled to 4-butyryl-4-phenylpiperidine (V) to furnish amide (VI). Finally, acidic cleavage of the N-Boc protecting group of (VI) provides the title compound.

参考文献No.57649
标题:Co-administration of melanocortin receptor agonists and phosphodiesterase inhibitor for treatment of cyclic-AMP associated disorders
作者:Macor, J.E.; Carlson, K.E. (Bristol-Myers Squibb Co.)
来源:WO 0269905
合成路线图解说明:

The title compound has been synthesized by two related methods. Coupling of N-Boc-L-methylhistidine (I) with D-4-methoxyphenylalanine methyl ester (II) employing EDC/HOBt affords the protected dipeptide (III). Subsequent saponification of the methyl ester (III) leads to carboxylic acid (IV). This is then coupled to 4-butyryl-4-phenylpiperidine (V) to furnish amide (VI). Finally, acidic cleavage of the N-Boc protecting group of (VI) provides the title compound.

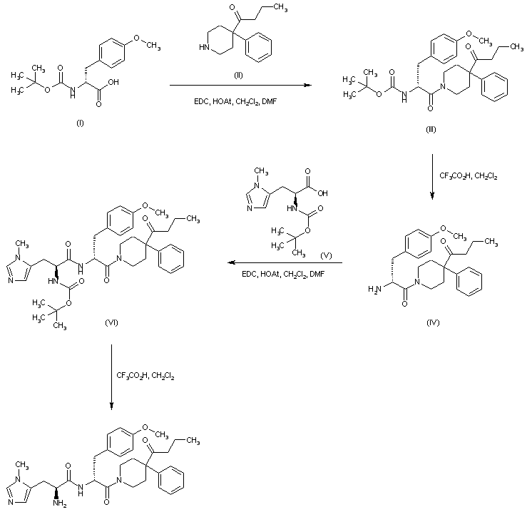
参考文献No.716329
标题:Discovery of tyrosine-based potent and selective melanocortin-1 receptor small-molecule agonists with anti-inflammatory properties
作者:Herpin, T.F.; Yu, G.; Carlson, K.E.; Morton, G.C.; Wu, X.; Kang, L.; Tuerdi, H.; Khanna, A.; Tokarski, J.S.; Lawrence, R.M.; Macor, J.E.
来源:J Med Chem 2003,46(7),1123
合成路线图解说明:

Similarly, N-Boc-D-4-methoxyphenylalanine (I) is coupled to 4-butyryl-4-phenylpiperidine (II), yielding amide (III). After acidic Boc group cleavage in (III), the resultant amine (IV) is acylated by N-Boc-L-methylhistidine (V) to provide the dipeptide amide (VI). The N-Boc protecting group of (VI) is finally removed employing trifluoroacetic acid.

Drug Information Express,Drug R&D,Chemical Database,Patent Search.
Copyright © 2006-2026 Drug Future. All rights reserved.Contact Us