【药物名称】
化学结构式(Chemical Structure):
参考文献No.716484
标题:Discovery of quinazolines as a novel structural class of potent inhibitors of NF-kappaB activation
作者:Tobe, M.; Isobe, Y.; Tomizawa, H.; Nagasaki, T.; Takahashi, H.; Fukazawa, T.; Hayashi, H.
来源:Bioorg Med Chem 2003,11(3),383
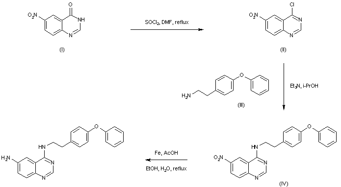
合成路线图解说明:

Chlorination of 6-nitro-4-quinazolone (I) in refluxing SOCl2 affords 4-chloro-6-nitroquinazoline (II), which is then condensed with 4-phenoxyphenethylamine (III) to furnish the 4-aminoquinazoline (IV). Finally, nitro group reduction employing iron powder and acetic acid gives rise to the title compound.

Drug Information Express,Drug R&D,Chemical Database,Patent Search.
Copyright © 2006-2026 Drug Future. All rights reserved.Contact Us