【药物名称】ST-1926
化学结构式(Chemical Structure):
参考文献No.60482
标题:Retinoid derivs. with antiangiogenic, antitumoral and proapoptotic activities
作者:Penco, S.; Merlini, L.; Giannini, G.; Vesci, L.; Pisano, C.; Dallavalle, S. (Sigma-Tau Industrie Farmaceutiche Riunite SpA)
来源:WO 0311808
合成路线图解说明:

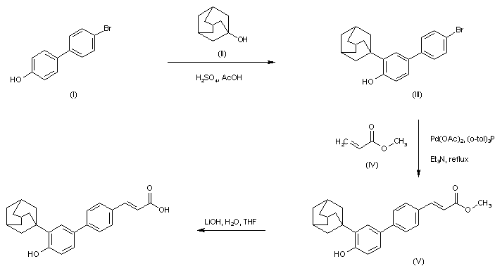
Friedel-Crafts condensation of 4'-bromobiphenyl-4-ol (I) with 1-adamantanol (II) affords the adamantanylbiphenyl derivative (III). This is then subjected to Heck coupling with methyl acrylate (IV) to produce the biphenylyl acrylate (V). Finally, basic hydrolysis of ester (V) leads to the title carboxylic acid.

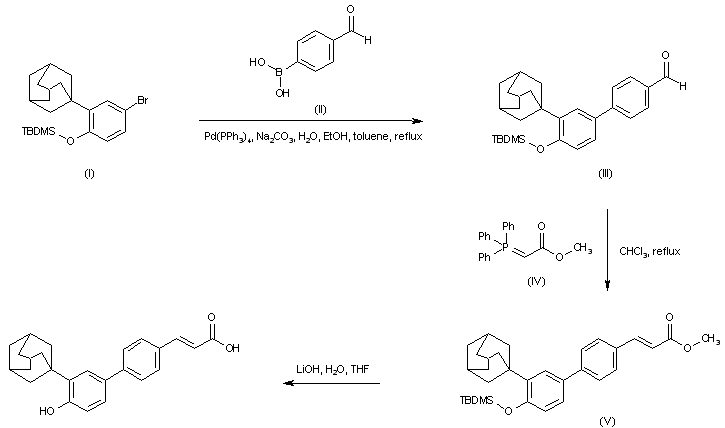
合成路线图解说明:

In an alternative method, 4-(t-butyldimethylsilyloxy)-3-(1-adamantyl)bromobenzene (I) undergoes Suzuki coupling with 4-formylbenzeneboronic acid (II) to provide the biphenyl aldehyde (III). Subsequent Wittig condensation of (III) with methyl triphenylphosphoranylideneacetate (IV) yields the unsaturated ester (V). This is finally hydrolyzed with LiOH to furnish the title compound.

参考文献No.716105
标题:A novel atypical retinoid endowed with proapoptotic and antitumor activity
作者:Cincinelli, R.; Dallavalle, S.; Merlini, L.; Penco, S.; Pisano, C.; Carminati, P.; Giannini, G.; Vesci, L.; Gaetano, C.; Illy, B.; Zuco, V.; Supino, R.; Zunino, F.
来源:J Med Chem 2003,46(6),909
合成路线图解说明:

Friedel-Crafts condensation of 4'-bromobiphenyl-4-ol (I) with 1-adamantanol (II) affords the adamantanylbiphenyl derivative (III). This is then subjected to Heck coupling with methyl acrylate (IV) to produce the biphenylyl acrylate (V). Finally, basic hydrolysis of ester (V) leads to the title carboxylic acid.

Drug Information Express,Drug R&D,Chemical Database,Patent Search.
Copyright © 2006-2026 Drug Future. All rights reserved.Contact Us