【药物名称】
化学结构式(Chemical Structure):
参考文献No.719532
标题:Structure-activity relationships of acetylcholinesterase noncovalent inhibitors based on a polyamine backbone. 2. Role of the substituents on the phenyl ring and nitrogen atoms of caproctamine
作者:Tumiatti, V.; Rosini, M.; Bartolini, M.; Cavalli, A.; Marucci, G.; Andrisano, V.; Angeli, P.; Banzi, R.; Minarini, A.; Recanatini, M.; Melchiorre, C.
来源:J Med Chem 2003,46(6),954
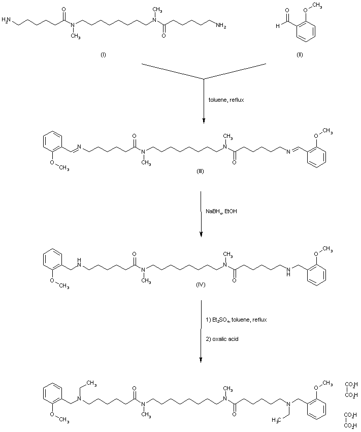
合成路线图解说明:

Condensation of diamine (I) with 2-methoxybenzaldehyde (II), followed by NaBH4 reduction of the intermediate bis-imine (III) gives rise to the benzylic amine (IV). This is then alkylated with diethyl sulfate, and the resultant N-ethyl amine is finally isolated as the corresponding dioxalate salt.

Drug Information Express,Drug R&D,Chemical Database,Patent Search.
Copyright © 2006-2026 Drug Future. All rights reserved.Contact Us