【药物名称】
化学结构式(Chemical Structure):
参考文献No.719541
标题:Trypanocidal activity of conformationally restricted pentamidine congeners
作者:Donkor, I.O.; Huang, T.L.; Tao, B.; Rattendi, D.; Lane, S.; Vargas, M.; Goldberg, B.; Bacchi, C.
来源:J Med Chem 2003,46(6),1041
合成路线图解说明:

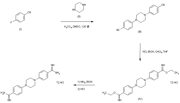
Condensation of 4-fluorobenzonitrile (I) with piperazine (II) in hot DMSO gives rise to the dinitrile adduct (III). This is then converted into imidate (IV) with HCl/EtOH. Treatment of imidate (IV) with ethanolic ammonia furnishes the corresponding bis-amidine derivative, which is finally isolated as the dihydrochloride salt. (1,2)

参考文献No.720747
标题:Synthesis and anti-Pneumocystis carinii activity of conformationally restricted analogues of pentamidine
作者:Tao, B.; Huang, T.L.; Zhang, Q.; Jackson, L.; Queener, S.F.; Donkor, I.O.
来源:Eur J Med Chem 1999,34(6),531
合成路线图解说明:

Condensation of 4-fluorobenzonitrile (I) with piperazine (II) in hot DMSO gives rise to the dinitrile adduct (III). This is then converted into imidate (IV) with HCl/EtOH. Treatment of imidate (IV) with ethanolic ammonia furnishes the corresponding bis-amidine derivative, which is finally isolated as the dihydrochloride salt. (1,2)

Drug Information Express,Drug R&D,Chemical Database,Patent Search.
Copyright © 2006-2026 Drug Future. All rights reserved.Contact Us