【药物名称】ST-126
化学结构式(Chemical Structure):
参考文献No.15227
标题:Novel steroid derivs.
作者:Komoto, T.; Okawa, J.; Ogawa, Y.; Sato, S.; Taido, N.; Kuraishi, T. (SSP Co., Ltd.)
来源:EP 0393658; JP 1990279694; US 5063222
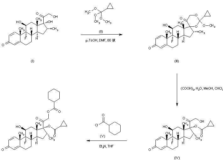
合成路线图解说明:

Treatment of dexamethasone (I) with trimethyl orthocyclopropanecarboxylate (II) in the presence of p-toluenesulfonic acid gives the mixed orthoester (III), which, upon acidic hydrolysis with oxalic acid leads to the C-17 cyclopropanecarboxylate ester (IV). Subsequent esterification of (IV) with cyclohexanecarbonyl chloride (V) furnishes the desired dexamethasone diester.

Drug Information Express,Drug R&D,Chemical Database,Patent Search.
Copyright © 2006-2026 Drug Future. All rights reserved.Contact Us