【药物名称】ZK-191784
化学结构式(Chemical Structure):
参考文献No.34811
标题:New vitamin D derivs. with carbo- or heterocyclic substituents at C-25, a process for their production, intermediate products and their use for producing medicaments
作者:Steinmeyer, A.; Kirsch, G.; Neef, G.; Schwarz, K.; Thieroff-Ekerdt, R.; Wiesinger, H.; Haberey, M.; F鋒nrich, M. (Schering AG)
来源:EP 0900198; JP 2000510826; US 2002049344; US 6600058; US 6613920; US 6642218; WO 9741096
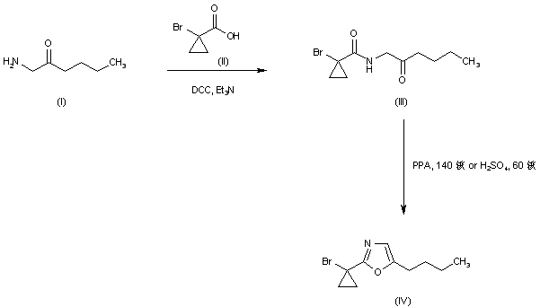
合成路线图解说明:

Coupling of 1-amino-2-hexanone (I) with 1-bromocyclopropanecarboxylic acid (II) produces keto amide (III). Subsequent cyclization of (III) under acidic conditions leads to oxazole (IV) .

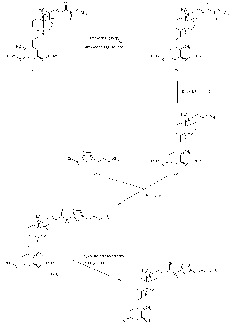
合成路线图解说明:

The 9,10-seco-steroid (V) is photochemically isomerized to (VI) under irradiation of a mercury lamp. Subsequent reduction of the methoxyamide function of (VI) employing DIBAL provides aldehyde (VII). Lithiation of the bromocyclopropane derivative (IV), followed by addition to aldehyde (VII) leads to carbinol (VIII) as a mixture of diastereoisomers. After chromatographic separation, the desired isomer is desilylated with tetrabutylammonium fluoride to furnish the title compound.

Drug Information Express,Drug R&D,Chemical Database,Patent Search.
Copyright © 2006-2026 Drug Future. All rights reserved.Contact Us