【药物名称】
化学结构式(Chemical Structure):
参考文献No.56611
标题:(Halo-benzo carbonyl)heterocyclic fused phenyl p38 kinase inhibiting agents
作者:Doherty, J.B.; Rupprecht, K.M.; Goulet, J.L.; Chen, M.-H.; Bao, J.; Liu, L.; Miao, S.; Hunt, J.A.; Hong, X.; Stelmach, J.E.; Ruzek, R.D.; Wisnoski, D.D.; Natarajan, S.R. (Merck & Co., Inc.)
来源:EP 1345603; WO 0258695
合成路线图解说明:

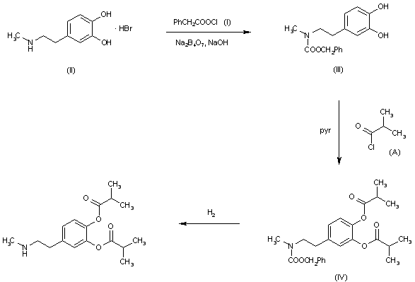
By reaction of benzyl chloroformate (I) with epinine hydrobromide (II) in sodium tetraborate and 2N NaOH to give the compound (III), which is esterified with isobutanoyl chloride (A) in pyridine giving (IV), which is debenzylated with H2.

合成路线图解说明:

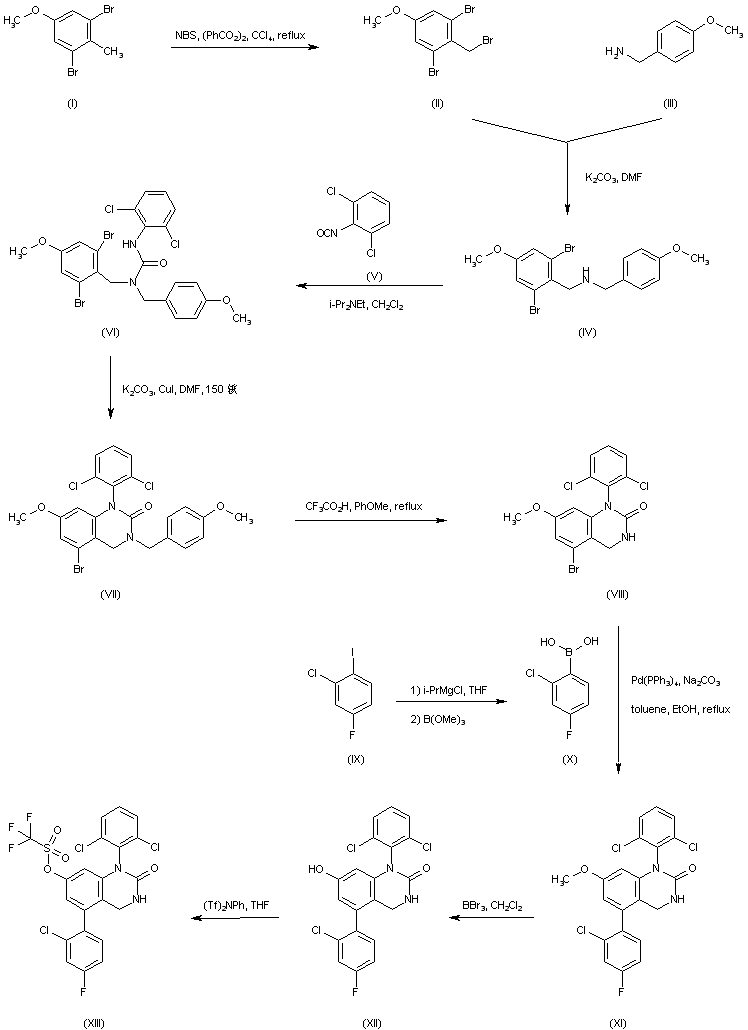
Radical bromination of 2,6-dibromo-4-methoxytoluene (I) affords the benzylic bromide (II), which is subsequently condensed with p-methoxybenzylamine (III) to produce the bis-benzyl amine derivative (IV). Coupling of amine (IV) with 2,6-dichlorophenyl isocyanate (V) furnishes urea (VI). Intramolecular cyclization of (VI) in the presence of K2CO3 and CuI leads to quinazolinone (VII). The p-methoxybenzyl protecting group is then removed by refluxing in trifluoroacetic acid to provide (VIII). Transmetalation of 2-chloro-4-fluoro-1-iodobenzene (IX) with isopropylmagnesium chloride, followed by condensation with trimethyl borate results in the boronic acid (X). Then, Suzuki coupling of (X) with aryl bromide (VIII) furnishes (XI). The methyl ether group of (XI) is cleaved by means of BBr3 to yield phenol (XII), which is further converted into triflate (XIII) upon treatment with either N-phenyl trifluoromethanesulfonimide or with N-(5-chloro-2-pyridyl) trifluoromethanesulfonimide.

合成路线图解说明:

Quaternization of 1-ethyl-4-piperidone (XIV) with methyl iodide provides the ammonium salt (XV) which, upon treatment with tert-butylamine and NaHCO3, gives rise to 1-tert-butyl-4-piperidone (XVI). The reaction of 1-tert-butyl-4-piperidone (XVI) firstly with LiN(SiMe3)2 and subsequently with N-(5-chloro-2-pyridyl) trifluoromethanesulfonimide [(Tf)2NPyr] in THF provides the enol triflate (XVII). Reaction of triflate (XVII) with hexamethylditin in the presence of palladium catalyst furnishes 1-tert-butyl-4-(trimethylstannyl)-1,2,3,6-tetrahydropyridine (XVIII). Stille coupling between the quinazolinyl triflate (XIII) and the stannyl tetrahydropyridine (XVIII) produces adduct (XIX). Finally, hydrogenation of the tetrahydropyridine double bond of (XIX) using PtO2 as the catalyst leads to the target piperidinyl compound.

参考文献No.714685
标题:Design and synthesis of potent, orally bioavailable dihydroquinazolinone inhibitors of p38 MAP kinase
作者:Stelmach, J.E.; Liu, L.; Patel, S.B.; Pivnichny, J.V.; Scapin, G.; Singh, S.; Hop, C.E.C.A.; Wang, Z.; Strauss, J.R.; Cameron, P.M.; Nichols, E.A.; O'Keefe, S.J.; O'Neill, E.A.; Schmatz, D.M.; Schwartz, C.D.; Thompson, C.M.; Zaller, D.M.; Doherty, J.B.
来源:Bioorg Med Chem Lett 2003,13(2),277
合成路线图解说明:

Radical bromination of 2,6-dibromo-4-methoxytoluene (I) affords the benzylic bromide (II), which is subsequently condensed with p-methoxybenzylamine (III) to produce the bis-benzyl amine derivative (IV). Coupling of amine (IV) with 2,6-dichlorophenyl isocyanate (V) furnishes urea (VI). Intramolecular cyclization of (VI) in the presence of K2CO3 and CuI leads to quinazolinone (VII). The p-methoxybenzyl protecting group is then removed by refluxing in trifluoroacetic acid to provide (VIII). Transmetalation of 2-chloro-4-fluoro-1-iodobenzene (IX) with isopropylmagnesium chloride, followed by condensation with trimethyl borate results in the boronic acid (X). Then, Suzuki coupling of (X) with aryl bromide (VIII) furnishes (XI). The methyl ether group of (XI) is cleaved by means of BBr3 to yield phenol (XII), which is further converted into triflate (XIII) upon treatment with either N-phenyl trifluoromethanesulfonimide or with N-(5-chloro-2-pyridyl) trifluoromethanesulfonimide.

合成路线图解说明:

Quaternization of 1-ethyl-4-piperidone (XIV) with methyl iodide provides the ammonium salt (XV) which, upon treatment with tert-butylamine and NaHCO3, gives rise to 1-tert-butyl-4-piperidone (XVI). The reaction of 1-tert-butyl-4-piperidone (XVI) firstly with LiN(SiMe3)2 and subsequently with N-(5-chloro-2-pyridyl) trifluoromethanesulfonimide [(Tf)2NPyr] in THF provides the enol triflate (XVII). Reaction of triflate (XVII) with hexamethylditin in the presence of palladium catalyst furnishes 1-tert-butyl-4-(trimethylstannyl)-1,2,3,6-tetrahydropyridine (XVIII). Stille coupling between the quinazolinyl triflate (XIII) and the stannyl tetrahydropyridine (XVIII) produces adduct (XIX). Finally, hydrogenation of the tetrahydropyridine double bond of (XIX) using PtO2 as the catalyst leads to the target piperidinyl compound.

Drug Information Express,Drug R&D,Chemical Database,Patent Search.
Copyright © 2006-2026 Drug Future. All rights reserved.Contact Us