【药物名称】
化学结构式(Chemical Structure):
参考文献No.45417
标题:New cpds., their preparation and use
作者:Sauerberg, P.; Jeppesen, L.; Bury, P.S.; Murray, A.; Pettersson, I. (Novo Nordisk A/S)
来源:EP 1171414; JP 2002542218; WO 0063153
合成路线图解说明:

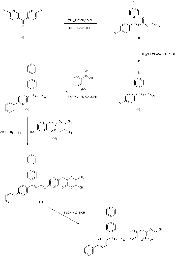
The Horner-Emmons condensation of 4,4'-dibromobenzophenone (I) with triethyl phosphonoacetate leads to the 3,3-diarylpropenoate (II). Ester (II) is subsequently reduced to the allylic alcohol (III) employing DIBAL in cold THF. Suzuki coupling of aryl bromide (III) with phenylboronic acid (IV) furnishes 3,3-bis-(biphenyl-4-yl)-2-propen-1-ol (V). Coupling of allylic alcohol (V) with (S) ethyl 2-ethoxy-3-(4-hydroxyphenyl)propionate (VI) by means of 1,1'-(azodicarbonyl)dipiperidine (ADDP) and tributylphosphine under Mitsunobu conditions gives rise to the ether adduct (VII). Finally, saponification of the ethyl ester group of (VII) provides the target carboxylic acid.

参考文献No.714673
标题:Design and synthesis of novel PPARalpha/gamma/delta triple activators using a known PPARalpha/gamma dual activator as structural template
作者:Mogensen, J.P.; Jeppesen, L.; Bury, P.S.; Pettersson, I.; Fleckner, J.; Nehlin, J.; Frederiksen, K.S.; Albrektsen, T.; Din, N.; Mortensen, S.B.; Svensson, L.A.; Wasserman, K.; Wulff, E.M.; Ynddal, L.; Sauerberg, P.
来源:Bioorg Med Chem Lett 2003,13(2),257
合成路线图解说明:

The Horner-Emmons condensation of 4,4'-dibromobenzophenone (I) with triethyl phosphonoacetate leads to the 3,3-diarylpropenoate (II). Ester (II) is subsequently reduced to the allylic alcohol (III) employing DIBAL in cold THF. Suzuki coupling of aryl bromide (III) with phenylboronic acid (IV) furnishes 3,3-bis-(biphenyl-4-yl)-2-propen-1-ol (V). Coupling of allylic alcohol (V) with (S) ethyl 2-ethoxy-3-(4-hydroxyphenyl)propionate (VI) by means of 1,1'-(azodicarbonyl)dipiperidine (ADDP) and tributylphosphine under Mitsunobu conditions gives rise to the ether adduct (VII). Finally, saponification of the ethyl ester group of (VII) provides the target carboxylic acid.

Drug Information Express,Drug R&D,Chemical Database,Patent Search.
Copyright © 2006-2026 Drug Future. All rights reserved.Contact Us