【药物名称】
化学结构式(Chemical Structure):
参考文献No.714681
标题:Novel inhibitors of neuronal nitric oxide synthase with potent antioxidant properties
作者:Auvin, S.; Auget, M.; Navet, E.; Harnett, J.J.; Viossat, I.; Schulz, J.; Bigg, D.; Chabrier, P.-E.
来源:Bioorg Med Chem Lett 2003,13(2),209
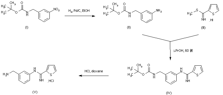
合成路线图解说明:

Reduction of N-Boc-3-nitrobenzylamine (I) by catalytic hydrogenation over Pd/C yields aniline (II). This is then condensed with S-methyl-2-thiophenethiocarboximide (III) to furnish amidine (IV). Subsequent acidic Boc group cleavage yields amine (V).

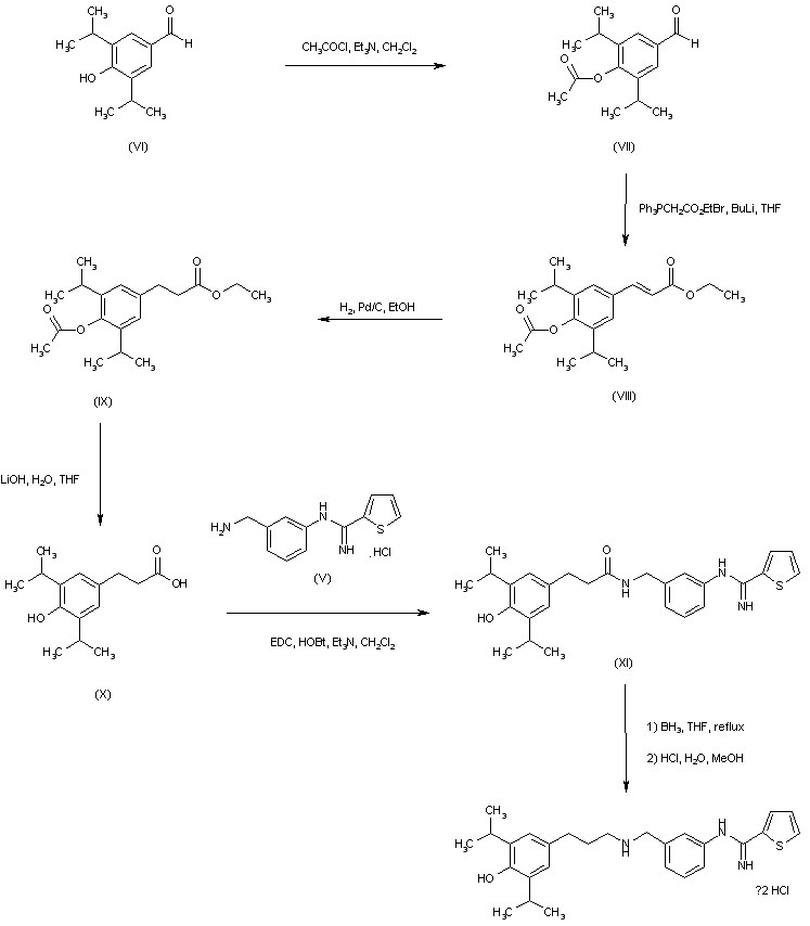
合成路线图解说明:

3,5-Diisopropyl-4-hydroxybenzaldehyde (VI) is esterified with acetyl chloride, producing acetate (VII). Subsequent Wittig condensation of aldehyde (VII) with carboethoxymethylene triphenylphosphorane leads to the cinnamyl derivative (VIII), which is further hydrogenated to the arylpropionic ester (IX). After saponification of ester (IX) with LiOH, the resultant carboxylic acid (X) is coupled to amine (V), producing amide (XI). Finally, amide reduction with borane in THF gives rise to the target amine.

Drug Information Express,Drug R&D,Chemical Database,Patent Search.
Copyright © 2006-2026 Drug Future. All rights reserved.Contact Us