【药物名称】
化学结构式(Chemical Structure):
参考文献No.714675
标题:Highly potent and selective alphaVbeta3-receptor antagonists: Solid-phase synthesis and SAR of 1-substituted 4-amino-1H-pyrimidin-2-ones
作者:Zechel, C.; Backfisch, G.; Delzer, J.; Geneste, H.; Graef, C.; Hornberger, W.; Kling, A.; Lange, U.E.W.; Lauterbach, A.; Seitz, W.; Subkowski, T.
来源:Bioorg Med Chem Lett 2003,13(2),165
合成路线图解说明:

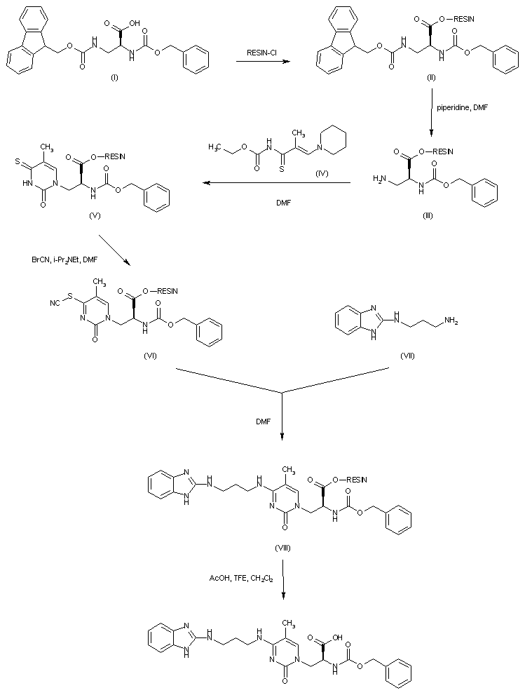
The title compound has been prepared by solid-phase combinatorial synthesis. The protected diaminopropionic acid (I) is attached to 2-chlorotrityl resin, producing the resin-bound amino acid (II). The N-Fmoc group of (II) is then selectively removed by treatment with piperidine in DMF producing (III). Condensation of amine (III) with N-ethoxycarbonyl-2-methyl-3-piperidinothioacrylamide (IV) results in the thiouracil derivative (V). This is converted into the thiocyanate (VI) upon treatment with cyanogen bromide in the presence of diisopropylethylamine. Further displacement of the thiocyanate group of (VI) with N-(2-benzimidazolyl)-1,3-propanediamine (VII) leads to the aminopyrimidone resin (VIII). Finally, acidic cleavage from the solid support (VIII) gives rise to the desired compound.

Drug Information Express,Drug R&D,Chemical Database,Patent Search.
Copyright © 2006-2026 Drug Future. All rights reserved.Contact Us