【药物名称】
化学结构式(Chemical Structure):
参考文献No.716737
标题:S-acyl-2-thioethyl aryl phosphotriester derivatives of AZT: Synthesis, antiviral activity, and stability study
作者:Peyrottes, S.; Coussot, G.; Lefebvre, I.; Imbach, J.-L.; Gosselin, G.; Aubertin, A.-M.; P閞igaud, C.
来源:J Med Chem 2003,46(5),782
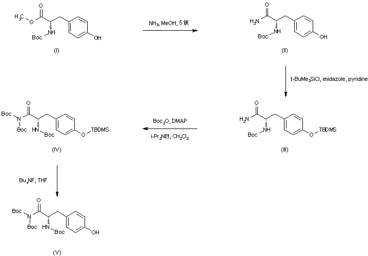
合成路线图解说明:

N-Boc-L-Tyrosine (I) methyl ester is treated with methanolic ammonia to provide amide (II). Protection of the phenolic hydroxyl of (II) with t-butyldimethylsilyl chloride leads to the silyl ether (III), which is further reacted with di-t-butyl dicarbonate in the presence of DMAP to furnish the tri-Boc derivative (IV). Subsequent desilylation of (IV) by means of tetrabutylammonium fluoride affords the tri-Boc-tyrosinamide (V).

合成路线图解说明:

Tetrazole-catalyzed phosphitylation of the tyrosinamide derivative (V) with O-2-(pivaloylthio)ethyl-N,N,N',N'-tetraisopropylphosphorodiamidite (VI) yields phosphoramidite (VII). This is subsequently coupled to azidothimidine (VIII) to furnish phosphite (IX), which is then oxidized to the corresponding phosphate (X) with t-butyl hydroperoxide. The N-Boc protecting groups of (X) are finally removed under acidic conditions to provide the title compound.

Drug Information Express,Drug R&D,Chemical Database,Patent Search.
Copyright © 2006-2026 Drug Future. All rights reserved.Contact Us