【药物名称】
化学结构式(Chemical Structure):
参考文献No.716732
标题:In vitro and in vivo characterization of 3-{2-[6-(2-tert-butoxyethoxy)pyridin-3-yl]-1H-imidazol-4-yl}benzonitrile hydrochloride salt, a potent and selective NPY5 receptor antagonist
作者:Elliott, R.L.; Oliver, R.M.; Hammond, M.; Patterson, T.A.; She, L.; Hargrove, D.M.; Martin, K.A.; Maurer, T.S.; Kalvass, J.C.; Morgan, B.P.; DaSilva-Jardine, P.A.; Stevenson, R.W.; Mack, C.M.; Cassella, J.V.
来源:J Med Chem 2003,46(5),670
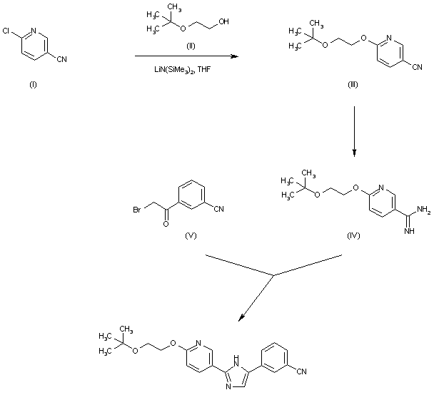
合成路线图解说明:

Condensation of 6-chloronicotinonitrile (I) with 2-tert-butoxyethanol (II) employing lithium bis(trimethylsilyl)amide affords ether (III). After conversion of nitrile (III) into amidine (IV), treatment with 3-(bromoacetyl)benzonitrile (V) furnishes the title imidazole derivative.

Drug Information Express,Drug R&D,Chemical Database,Patent Search.
Copyright © 2006-2026 Drug Future. All rights reserved.Contact Us