【药物名称】
化学结构式(Chemical Structure):
参考文献No.719542
标题:Synthesis and cytotoxic activity of carboxamide derivatives of benzo[b][1,6]naphthyridines
作者:Deady, L.W.; Rodermann, T.; Zhuang, L.; Baguley, B.C.; Denny, W.A.
来源:J Med Chem 2003,46(6),1049
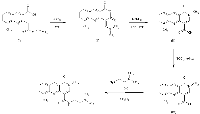
合成路线图解说明:

Reaction of ethyl (3-carboxy-8-methylquinolin-2-yl)acetate (I) with POCl3/DMF under Vilsmeier formylation conditions leads to the cyclic anhydride (II). Subsequent treatment of (II) with methylamine gives rise to the benzonaphthyridine derivative (III). After activation of acid (III) as the corresponding acyl chloride (IV) with SOCl2, condensation with N,N-dimethyl ethylenediamine (V) furnishes the title amide.

Drug Information Express,Drug R&D,Chemical Database,Patent Search.
Copyright © 2006-2026 Drug Future. All rights reserved.Contact Us