【药物名称】
化学结构式(Chemical Structure):
参考文献No.57077
标题:Thrombin inhibitors
作者:Williams, P.D.; Selnick, H.G.; Young, M.B.; Nantermet, P.G. (Merck & Co., Inc.)
来源:EP 1359913; WO 0264140
合成路线图解说明:

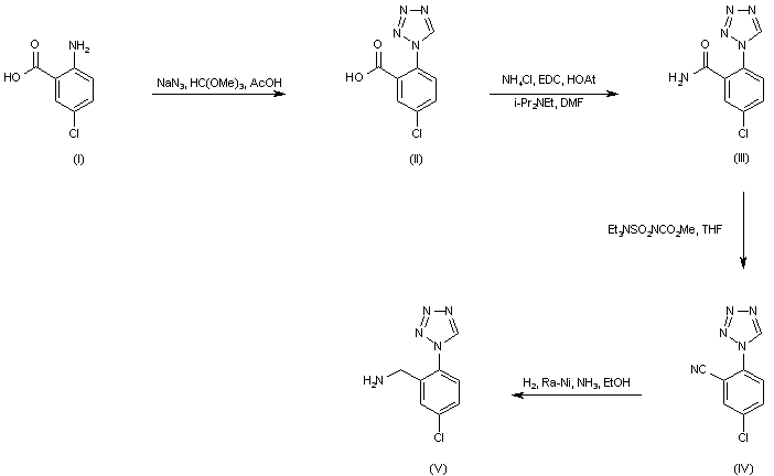
The precursor 5-chloro-2-tetrazol-1-yl-benzylamine (V) is prepared as follows. Cyclization of 5-chloroanthranilic acid (I) with sodium azide and trimethyl orthoformate gives rise to the tetrazole derivative (II). Subsequent coupling of acid (II) with ammonium chloride in the presence of EDC and HOAt affords amide (III). This is then dehydrated to the nitrile (IV) employing the Burgess reagent in THF. Nitrile (IV) is reduced to the target amine (V) by catalytic hydrogenation over Raney nickel.

合成路线图解说明:

Lithiation of 2-bromopyridine (VI), followed by addition to diethyl oxalate leads to ketoester (VII). Subsequent fluorination of (VII) by means of diethylaminosulfur trifluoride gives rise to the difluoro ester (VIII). Reduction of ester (VIII) by using NaBH4 yields alcohol (IX), which is then activated as the triflate (X) with trifluoromethanesulfonic anhydride. Displacement of triflate (X) with NaN3 in hot DMF produces azide (XI). The pyridine ring of (XI) is converted into the corresponding N-oxide (XII) by treatment with m-chloroperbenzoic acid. Reduction of azide (XII) by means of triphenylphosphine in moist THF leads to amine (XIII). Coupling of amine (XIII) with the bromopyrazinone (XIV) provides the aminopyrazinone adduct (XV), which is further chlorinated to (XVI) employing N-chlorosuccinimide. Saponification of the ethyl ester group of (XVI) provides carboxylic acid (XVII). This is finally coupled to the benzylic amine (V) in the presence of EDC/HOAt to furnish the title amide.

Drug Information Express,Drug R&D,Chemical Database,Patent Search.
Copyright © 2006-2026 Drug Future. All rights reserved.Contact Us