【药物名称】
化学结构式(Chemical Structure):
参考文献No.714253
标题:Substituted pyrrol-1-ylacetic acids that combine aldose reductase enzyme inhibitory activity and ability to prevent the nonenzymatic irreversible modification of proteins from monosaccharides
作者:Nicolaou, I.; Demopoulos, V.J.
来源:J Med Chem 2003,46(3),417
合成路线图解说明:

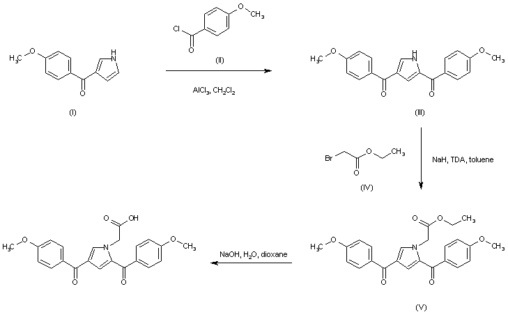
Friedel-Crafts acylation of 3-(p-methoxybenzoyl)pyrrole (I) with p-methoxybenzoyl chloride (II) gives rise to diketone (III). Subsequent alkylation of pyrrole (III) with ethyl bromoacetate (IV) in the presence of NaH and tris[(2-methoxyethoxy)ethyl]amine (TDA) furnishes the pyrrolylacetate (V). Finally, saponification of the ethyl ester group of (V) affords the target carboxylic acid.

Drug Information Express,Drug R&D,Chemical Database,Patent Search.
Copyright © 2006-2026 Drug Future. All rights reserved.Contact Us