【药物名称】
化学结构式(Chemical Structure):
参考文献No.713573
标题:Synthesis and pharmacological characterisation of 2,4-dicarboxy-pyrroles as selective non-competitive mGluR1 antagonists
作者:Micheli, F.; Di Fabio, R.; Cavanni, P.; Rimland, J.M.; Capelli, A.M.; Chiamulera, C.; Corsi, M.; Corti, C.; Donati, D.; Feriani, A.; Ferraguti, F.; Maffeis, M.; Missio, A.; Ratti, E.; Paio, A.; Pachera, R.; Quartaroli, M.; Reggiani, A.; et al.
来源:Bioorg Med Chem 2003,11(2),171
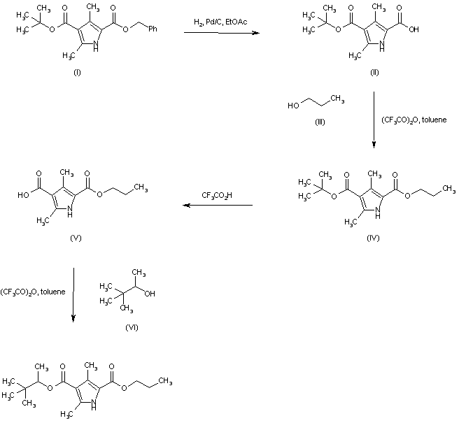
合成路线图解说明:

The known 3,5-dimethylpyrrole-2,4-dicarboxylic acid 2-benzyl ester 4-t-butyl ester (I) is subjected to benzyl group hydrogenolysis over Pd/C to provide the corresponding pyrrole-2-carboxylic acid (II). Subsequent coupling of acid (II) with 1-propanol (III) in the presence of trifluoroacetic anhydride furnishes the 2-propyl ester (IV). The 4-t-butyl ester of (IV) is then cleaved by means of trifluoroacetic acid, yielding the pyrrole-4-carboxylic acid (V). This is finally coupled to 3,3-dimethyl-2-butanol (VI) by using trifluoroacetic anhydride to furnish the target pyrrole diester.

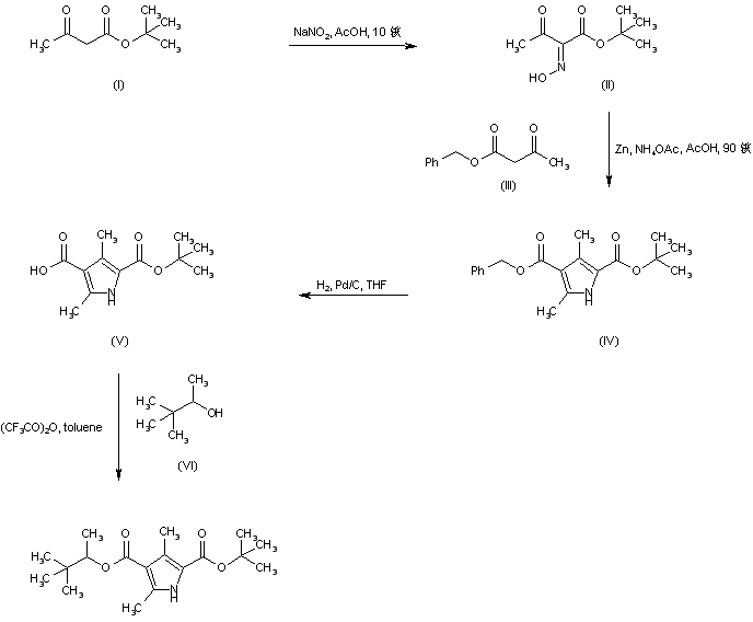
合成路线图解说明:

Nitrosation of tert-butyl acetoacetate (I) with NaNO2 in cold AcOH leads to oxime (II), which is further condensed with benzyl acetoacetate (III) in the presence of Zn and ammonium acetate, to produce pyrrole (IV). The 4-benzyl ester of (IV) is selectively removed by catalytic hydrogenolysis over Pd/C, yielding the pyrrole-4-carboxylic acid (V). Subsequent coupling of acid (V) with 3,3-dimethyl-2-butanol (VI) employing trifluoroacetic anhydride furnishes the target pyrrole diester.

Drug Information Express,Drug R&D,Chemical Database,Patent Search.
Copyright © 2006-2026 Drug Future. All rights reserved.Contact Us