【药物名称】
化学结构式(Chemical Structure):
参考文献No.713574
标题:2,3-Diaryl-5-anilino[1,2,4]thiadiazoles as melanocortin MC4 receptor agonists and their effects on feeding behavior in rats
作者:Pan, K.; Scott, M.K.; Lee, D.H.S.; Fitzpatrick, L.J.; Crooke, J.J.; Rivero, R.A.; Rosenthal, D.I.; Vaidya, A.H.; Zhao, B.; Reitz, A.B.
来源:Bioorg Med Chem 2003,11(2),185
合成路线图解说明:

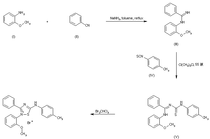
Condensation between ortho-anisidine (I) and benzonitrile (II) in the presence of NaNH2 furnishes N-(2-methoxyphenyl)benzamidine (III). Subsequent condensation of (III) with p-tolyl isothiocyanate (IV) produces the imidoyl thiourea (V). This is then oxidized by bromine in CHCl3 to form the target thiadiazolium salt.

Drug Information Express,Drug R&D,Chemical Database,Patent Search.
Copyright © 2006-2026 Drug Future. All rights reserved.Contact Us