【药物名称】
化学结构式(Chemical Structure):
参考文献No.714096
标题:Design and synthesis of the potent, orally available, brain-penetrable arylpyrazole class of neuropeptide Y5 receptor antagonist
作者:Sato, N.; Takahashi, T.; Shibata, T.; Haga, Y.; Sakuraba, A.; Hirose, M.; Sato, M.; Nonoshita, K.; Koike, Y.; Kitazawa, H.; Fujino, N.; Ishii, Y.; Ishihara, A.; Kanatani, A.; Fukami, T.
来源:J Med Chem 2003,46(5),666
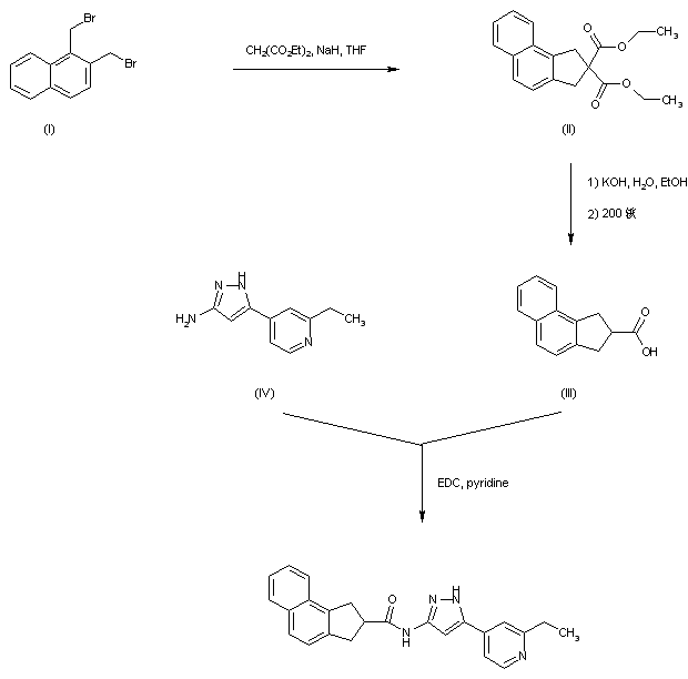
合成路线图解说明:

Reaction of 1,2-bis(bromomethyl)naphthalene (I) with diethyl malonate in the presence of NaH in THF provides the cyclopentyl dicarboxylate compound (II). Subsequent saponification of diester (II), followed by thermal decarboxylation leads to acid (III). This is finally coupled with the amino pyrazole (IV) in the presence of EDC to produce the corresponding amide

Drug Information Express,Drug R&D,Chemical Database,Patent Search.
Copyright © 2006-2026 Drug Future. All rights reserved.Contact Us