【药物名称】
化学结构式(Chemical Structure):
参考文献No.714381
标题:Synthesis and in vitro and in vivo antimalarial activity of N(1)-(7-chloro-4-quinolyl)-1,4-bis(3-aminopropyl)piperazine derivatives
作者:Ryckebusch, A.; Deprez-Poulain, R.; Maes, L.; Debreu-Fontaine, M.A.; Mouray, E.; Grellier, P.; Sergheraert, C.
来源:J Med Chem 2003,46(4),542
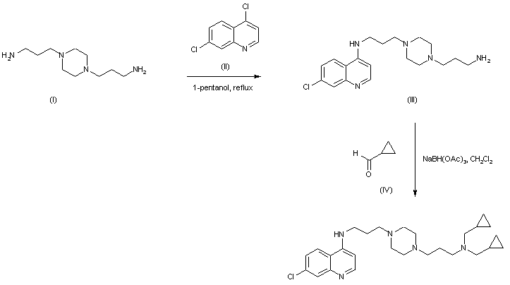
合成路线图解说明:

Condensation of N,N'-bis-(3-aminopropyl)piperazine (I) with 4,7-dichloroquinoline (II) in refluxing pentanol affords adduct (III). Then reductive alkylation of the primary amino group of (III) with cyclopropanecarboxaldehyde (IV) in the presence of NaBH(OAc)3 provides the title compound.

Drug Information Express,Drug R&D,Chemical Database,Patent Search.
Copyright © 2006-2026 Drug Future. All rights reserved.Contact Us