【药物名称】
化学结构式(Chemical Structure):
参考文献No.59369
标题:Triazine cpds. useful as sorbitol dehydrogenase inhibitors
作者:Mylari, B.L. (Pfizer Products Inc.)
来源:EP 1247809
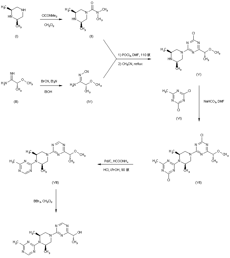
合成路线图解说明:

Acylation of cis-2,6-dimethylpiperazine (I) with dimethylcarbamoyl chloride affords urea (II) (1,2). (R)-2-Methoxypropionamidine (III) is reacted with cyanogen bromide to produce the N-cyano amidine (IV) (1). Treatment of the carbamoyl piperazine (II) with POCl3, followed by condensation with cyanoamidine (IV) in refluxing acetonitrile gives rise to the piperazinyl triazine (V), which is condensed with 2,4-dichloro-6-methyltriazine (VI) yielding the bis-triazinyl piperazine (VII). Dehalogenation of (VII) by transfer hydrogenation with Pd/C and ammonium formate produces (VIII), which is finally subjected to methyl ether cleavage with BBr3 to furnish the title compound (1,2).

参考文献No.755511
标题:Design and synthesis of a novel family of triazine-based inhibitors of sorbitol dehydrogenase with oral activity: 1-{4-[3R,5S-Dimethyl-4-(4-methyl-[1,3,5]triazin-2-yl)-piperazin-1-yl]-[1,3,5]triazin-2-yl}-(R) ethanol
作者:Mylari, B.L.; Withbroe, G.J.; Beebe, D.A.; Brackett, N.S.; Conn, E.L.; Coutcher, J.B.; Oates, P.J.; Zembrowski, W.J.
来源:Bioorg Med Chem 2003,11(19),4179
合成路线图解说明:

Acylation of cis-2,6-dimethylpiperazine (I) with dimethylcarbamoyl chloride affords urea (II) (1,2). (R)-2-Methoxypropionamidine (III) is reacted with cyanogen bromide to produce the N-cyano amidine (IV) (1). Treatment of the carbamoyl piperazine (II) with POCl3, followed by condensation with cyanoamidine (IV) in refluxing acetonitrile gives rise to the piperazinyl triazine (V), which is condensed with 2,4-dichloro-6-methyltriazine (VI) yielding the bis-triazinyl piperazine (VII). Dehalogenation of (VII) by transfer hydrogenation with Pd/C and ammonium formate produces (VIII), which is finally subjected to methyl ether cleavage with BBr3 to furnish the title compound (1,2).

Drug Information Express,Drug R&D,Chemical Database,Patent Search.
Copyright © 2006-2026 Drug Future. All rights reserved.Contact Us