【药物名称】
化学结构式(Chemical Structure):
参考文献No.43610
标题:Substd. aminophenyl isoxazoline derivs. useful as antimicrobials
作者:Thomas, R.C.; Barbachyn, M.R.; Morris, J.; Wishka, D.G.; Cleek, G.J. (Pfizer Inc.)
来源:JP 2002503655; US 6069141; WO 9941244
合成路线图解说明:

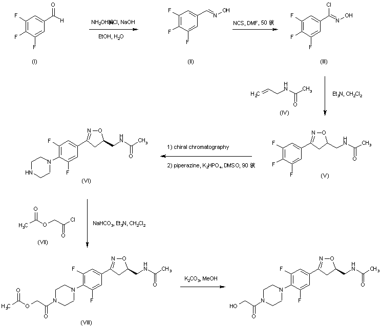
3,4,5-Trifluorobenzaldehyde (I) is converted into oxime (II) upon treatment with hydroxylamine in aqueous EtOH. Subsequent oxidation of oxime (II) with N-chlorosuccimide produces the hydroximinoyl chloride (III). In situ conversion of (III) to the corresponding nitrile oxide, followed by cycloaddition with N-allyl acetamide (IV) generates the racemic isoxazoline (V). After resolution of (V) by means of chiral HPLC, displacement of the para-fluoride group with piperazine in hot DMSO furnishes (VI). Acylation of piperazine (VI) by means of acetoxyacetyl chloride (VII) gives rise to amide (VIII). Finally, methanolysis of the acetoxy group of (VIII) in the presence of K2CO3 leads to the target hydroxyacetylpiperazine derivative. (1,2)

参考文献No.712274
标题:Identification of phenylisoxazolines as novel and viable antibacterial agents active against Gram-positive pathogens
作者:Barbachyn, M.R.; Cleek, G.J.; Dolak, L.A.; Garmon, S.A.; Morris, J.; Seest, E.P.; Thomas, R.C.; Toops, D.S.; Watt, W.; Wishka, D.G.; Ford, C.W.; Zurenko, G.E.; Hamel, J.C.; Schaadt, R.D.; Stapert, D.; Yagi, B.H.; Adams, W.J.; Friis, J.M.; et al.
来源:J Med Chem 2003,46(2),284
合成路线图解说明:

3,4,5-Trifluorobenzaldehyde (I) is converted into oxime (II) upon treatment with hydroxylamine in aqueous EtOH. Subsequent oxidation of oxime (II) with N-chlorosuccimide produces the hydroximinoyl chloride (III). In situ conversion of (III) to the corresponding nitrile oxide, followed by cycloaddition with N-allyl acetamide (IV) generates the racemic isoxazoline (V). After resolution of (V) by means of chiral HPLC, displacement of the para-fluoride group with piperazine in hot DMSO furnishes (VI). Acylation of piperazine (VI) by means of acetoxyacetyl chloride (VII) gives rise to amide (VIII). Finally, methanolysis of the acetoxy group of (VIII) in the presence of K2CO3 leads to the target hydroxyacetylpiperazine derivative. (1,2)

Drug Information Express,Drug R&D,Chemical Database,Patent Search.
Copyright © 2006-2026 Drug Future. All rights reserved.Contact Us