【药物名称】
化学结构式(Chemical Structure):
参考文献No.711830
标题:A novel synthesis of 7-aryl-8-fluoro-pyrrolo[1,2-a]pyrimid-4-ones as potent, stable GnRH receptor antagonists
作者:Tucci, F.C.; Zhu, Y.-F.; Guo, Z.; Gross, T.D.; Connors, P.J. Jr.; Struthers, R.S.; Reinhartt, G.J.; Wang, X.; Saunders, J.; Chen, C.
来源:Bioorg Med Chem Lett 2002,12(23),3491
合成路线图解说明:

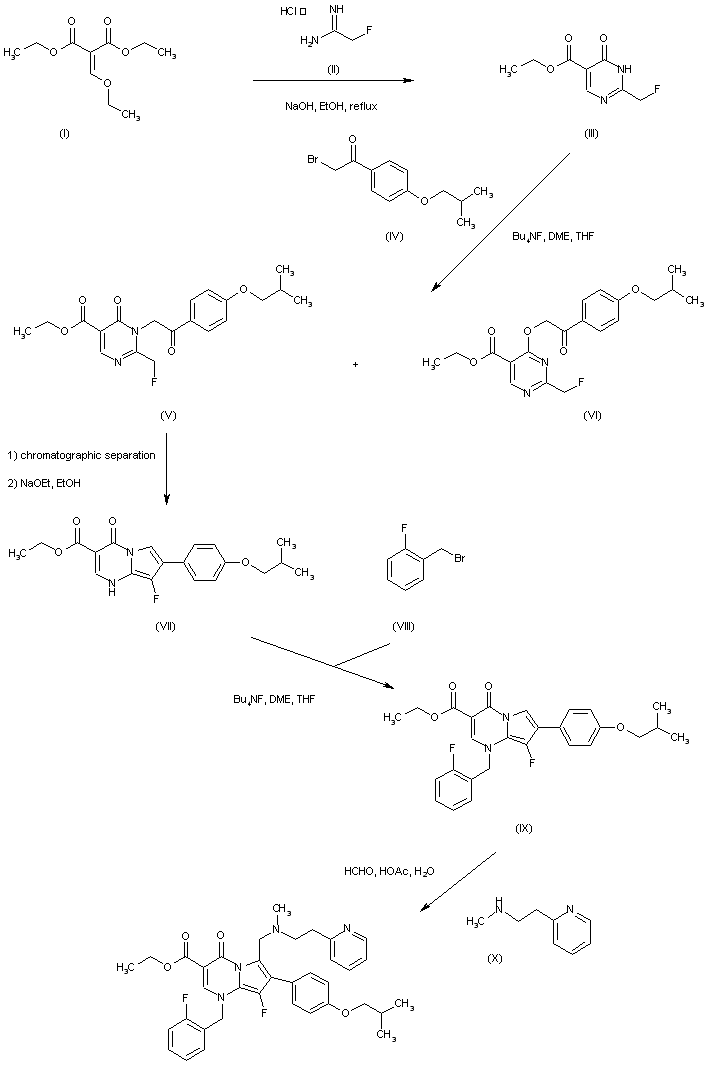
Diethyl ethoxymethylenemalonate (I) is condensed with alpha-fluoroacetamidine (II) to afford the pyrimidinone (III). The alkylation of (III) with 2-bromo-4'-isobutyloxyacetophenone (IV) gives rise to the required N-alkylated pyrimidinone (V), along with major amounts of the unwanted O-alkylated regioisomer (VI), which can be separated by chromatography. Cyclization of (V) in the presence of NaOEt provides the key pyrrolopyrimidinone compound (VII). After alkylation of (VII) with 2-fluorobenzyl bromide (VIII) in the presence of tetrabutylammonium fluoride, the resultant N-benzyl derivative (IX) is subjected to Mannich reaction with N-methyl-2-(2-pyridyl)ethylamine (X) and formaldehyde to produce the title compound.

Drug Information Express,Drug R&D,Chemical Database,Patent Search.
Copyright © 2006-2026 Drug Future. All rights reserved.Contact Us