【药物名称】
化学结构式(Chemical Structure):
参考文献No.711825
标题:Synthesis of [difluoro-(3-alkenylphenyl)-methyl]-phosphonic acids on non-crosslinked polystyrene and their evaluation as inhibitors of PTP1B
作者:Hum, G.; Lee, J.; Taylor, S.D.
来源:Bioorg Med Chem Lett 2002,12(23),3471
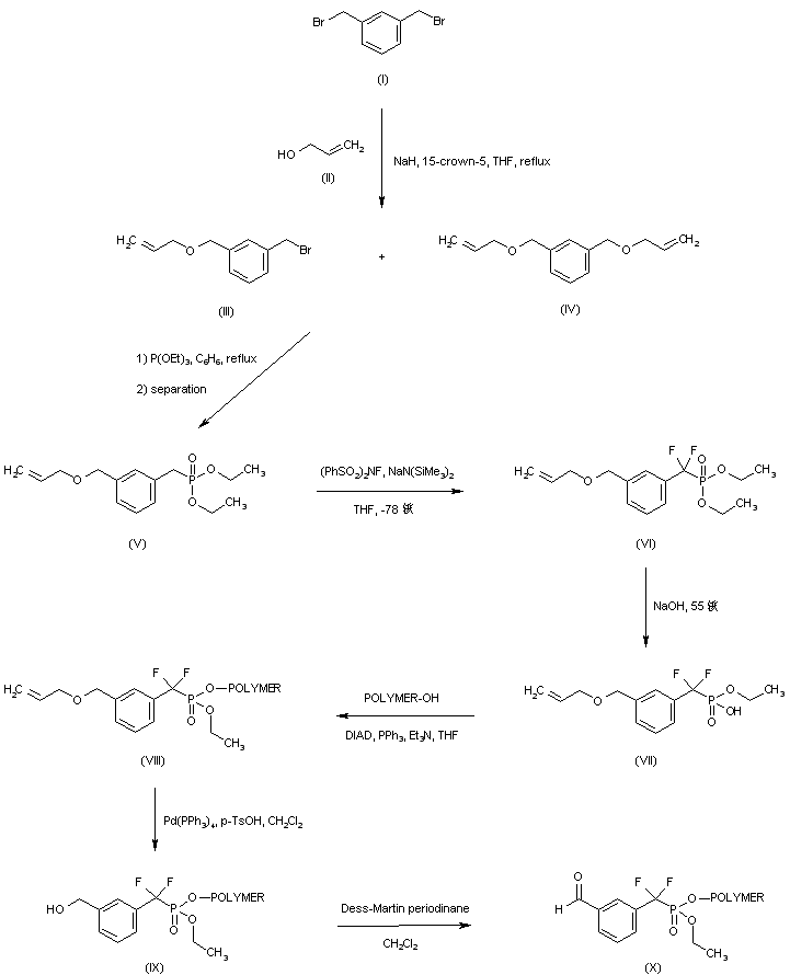
合成路线图解说明:

Condensation of dibromide (I) with allyl alcohol (II) in the presence of NaH gives rise to a mixture of mono- and diallylated compounds (III) and (IV) which, without separation, is subjected to Arbuzov reaction with triethyl phosphite, to furnish the desired phosphonate (V). Electrophilic fluorination of (V) using N-fluorobenzenesulfonimide provides the difluoro phosphonate (VI). Then, basic hydrolysis of phosphonate (VI) affords acid (VII). Compound (VII) is attached to a functionalized non-crosslinked polystyrene soluble polymer under Mitsunobu conditions to produce the polymer-bound phosphonate (VIII). Then, removal of the allyl group in the presence of p-toluenesulfinic acid and Pd(PPh3)4 yields the benzylic alcohol (IX). Oxidation of (IX) employing the Dess-Martin periodinane reagent leads to aldehyde (X) (1).

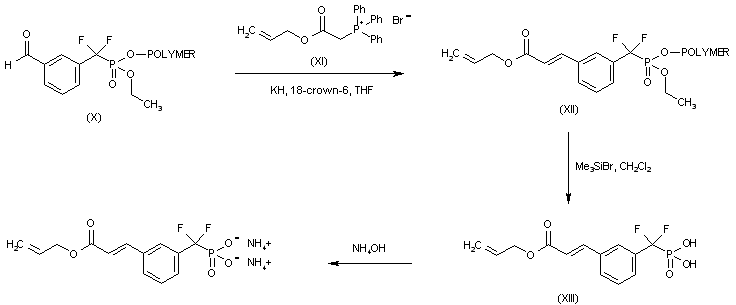
合成路线图解说明:

Wittig condensation of aldehyde (X) with the phosphorus ylide generated from phosphonium salt (XI) provides the polymer-bound cinnamate derivative (XII). Simultaneous cleavage of the support from (XII) and phosphonate deprotection to provide phosphonic acid (XIII) is achieved using bromotrimethylsilane. Acid (XIII) is then applied to an anion exchange resin and eluted with ammonium hydroxide to furnish the corresponding ammonium salt (1).

Drug Information Express,Drug R&D,Chemical Database,Patent Search.
Copyright © 2006-2026 Drug Future. All rights reserved.Contact Us