【药物名称】A-317344((R)-isomer), A-317491
化学结构式(Chemical Structure):
参考文献No.58729
标题:Trisubstd.-N-[(1S)-1,2,3,4-tetrahydro-1-naphthalenyl]benzamides which inhibit P2X3 and P2X2/3 containing receptors
作者:Lee, C.-H.; Stewart, A.O.; Perner, R.J.; Zheng, G.Z.; Larson, D.P.; Koenig, J.R.; Gomtsyan, A.R.; Didomenico, S.; Bayburt, E.K. (Abbott Laboratories Inc.)
来源:US 2002173665; WO 0294767
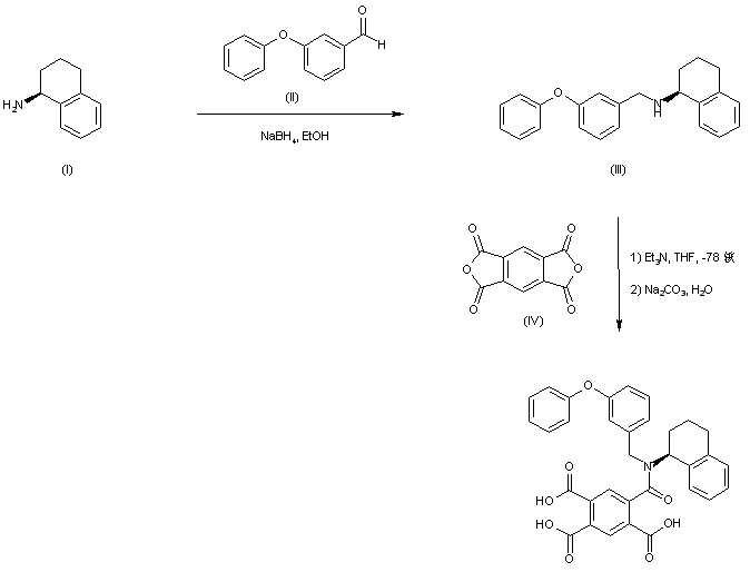
合成路线图解说明:

The reductive alkylation of (S)-1,2,3,4-tetrahydro-1-naphthalenylamine (I) with 3-phenoxybenzaldehyde (II) in the presence of NaBH4 affords the secondary amine (III), which is then acylated with 1,2,4,5-benzenetetracarboxylic dianhydride (IV), followed by aqueous hydrolysis to furnish the title compound.

Drug Information Express,Drug R&D,Chemical Database,Patent Search.
Copyright © 2006-2026 Drug Future. All rights reserved.Contact Us