【药物名称】
化学结构式(Chemical Structure):
参考文献No.710510
标题:Discovery of a novel and highly potent noncompetitive AMPA receptor antagonist
作者:Gitto, A.; Barreca, M.L.; De Luca, L.; De Sarro, G.; Ferreri, G.; Quartarone, S.; Russo, E.; Constanti, A.; Chimirri, A.
来源:J Med Chem 2003,46(1),197
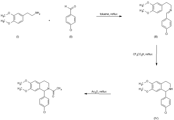
合成路线图解说明:

Condensation between 2-(3,4-dimethoxyphenyl)ethylamine (I) and 4-chlorobenzaldehyde (II) in refluxing toluene affords imine (III). Then, Pictet-Spengler cyclization of imine (III) in the presence of trifluoroacetic acid leads to the tetrahydroisoquinoline (IV). This is further acylated in boiling acetic anhydride to produce the target acetamide.

Drug Information Express,Drug R&D,Chemical Database,Patent Search.
Copyright © 2006-2026 Drug Future. All rights reserved.Contact Us