【药物名称】
化学结构式(Chemical Structure):
参考文献No.710409
标题:Hydantoin-substituted 4,6-dichloroindole-2-carboxylic acids as ligands with high affinity for the glycine binding site of the NMDA receptor
作者:Jansen, M.; Potschka, H.; Brandt, C.; L鰏cher, W.; Dannhardt, G.
来源:J Med Chem 2003,46(1),64
合成路线图解说明:

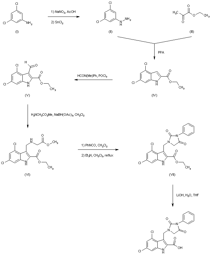
Diazotization of 3,5-dichloroaniline (I), followed by reduction of the resultant diazonium salt provides hydrazine (II). Subsequent reaction of 3,5-dichlorophenylhydrazine (II) with ethyl pyruvate (III) under Fischer reaction conditions gives rise to indole (IV). Vilsmeier formylation of (IV) using N-methylformanilide and phosphoryl chloride produces aldehyde (V). This is reductively aminated with methyl glycinate and NaBH(OAc)3 to afford aminoester (VI). Condensation of (VI) with phenyl isocyanate, followed by cyclization in the presence of Et3N leads to hydantoin (VII). Finally, ester (VII) is hydrolyzed employing LiOH to furnish the target indolecarboxylic acid.

Drug Information Express,Drug R&D,Chemical Database,Patent Search.
Copyright © 2006-2026 Drug Future. All rights reserved.Contact Us