【药物名称】ZK-260255, AAL-993
化学结构式(Chemical Structure):
参考文献No.43465
标题:N-Aryl(thio)anthranilic acid amide derivs., their preparation and their use as VEGF receptor tyrosine kinase inhibitors
作者:Seidelmann, D.; Huth, A.; Manley, P.W.; Thierauch, K.-H.; Kr黦er, M.; Bold, G.; Haberey, M.; Furet, P.; Altmann, K.-H.; Mestan, J.; Menrad, A.; Ferrari, S.; Wood, J.M.; Hofmann, F. (Novartis AG; Schering AG)
来源:EP 1129075; JP 2002529453; US 6448277; WO 0027820
合成路线图解说明:

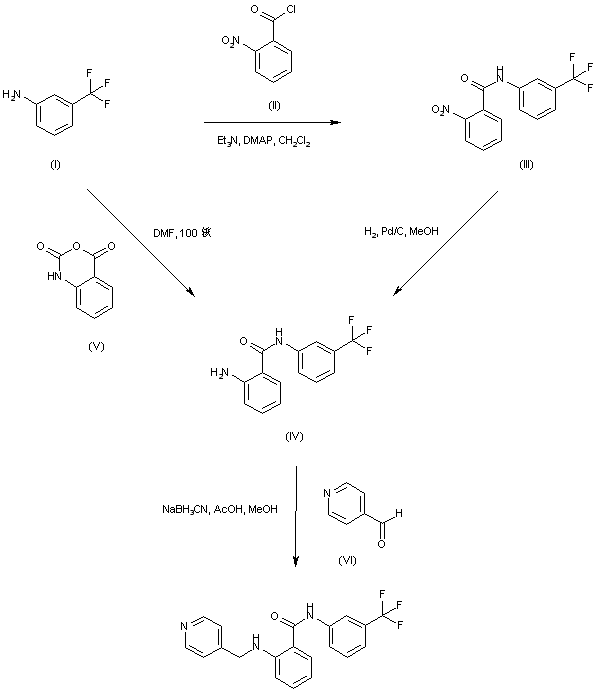
The intermediate anthranilamide (IV) is prepared by two alternative methods. Acylation of 3-(trifluoromethyl)aniline (I) with 2-nitrobenzoyl chloride (II) yields benzamide (III). The nitro group of (III) is then reduced to the corresponding amine (IV) by catalytic hydrogenation over Pd/C (1). Alternatively, 3-(trifluoromethyl)aniline (I) is condensed with isatoic anhydride (V) to furnish directly anthranilamide (IV) (2). Finally, reductive alkylation of (IV) with pyridine-4-carbaldehyde (VI) employing NaBH3CN gives rise to the target pyridylmethyl amine.

参考文献No.709981
标题:Anthranilic acid amides: A novel class of antiangiogenic VEGF receptor kinase inhibitors
作者:Manley, P.W.; Furet, P.; Bold, G.; Br黦gen, J.; Mestan, J.; Meyer, T.; Schnell, C.R.; Wood, J.; Haberey, M.; Huth, A.; Kruger, M.; Menrad, A.; Ottow, E.; Seidelmann, D.; Siemeister, G.; Thierauch, K.H.
来源:J Med Chem 2002,45(26),5687
合成路线图解说明:

The intermediate anthranilamide (IV) is prepared by two alternative methods. Acylation of 3-(trifluoromethyl)aniline (I) with 2-nitrobenzoyl chloride (II) yields benzamide (III). The nitro group of (III) is then reduced to the corresponding amine (IV) by catalytic hydrogenation over Pd/C (1). Alternatively, 3-(trifluoromethyl)aniline (I) is condensed with isatoic anhydride (V) to furnish directly anthranilamide (IV) (2). Finally, reductive alkylation of (IV) with pyridine-4-carbaldehyde (VI) employing NaBH3CN gives rise to the target pyridylmethyl amine.

Drug Information Express,Drug R&D,Chemical Database,Patent Search.
Copyright © 2006-2026 Drug Future. All rights reserved.Contact Us