【药物名称】JWH-229
化学结构式(Chemical Structure):
参考文献No.708712
标题:1-Methoxy-, 1-deoxy-11-hydroxy- and 11-hydroxy-1-methoxy-DELTA(8)-tetrahydrocannabinols: New selective ligands for the CB2 receptor
作者:Huffman, J.W.; Bushell, S.M.; Miller, J.R.A.; Wiley, J.L.; Martin, B.R.
来源:Bioorg Med Chem 2002,10(12),4119
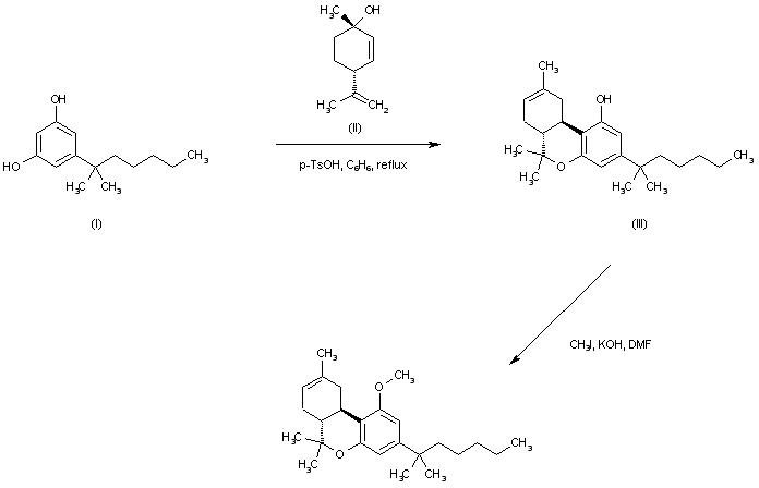
合成路线图解说明:

Condensation of 5-(1,1-dimethylhexyl)resorcinol (I) with (1S,4R)-4-isopropenyl-1-methyl-2-cyclohexenol (II) under acidic conditions furnishes the tetrahydrocannabinol derivative (III). The phenolic hydroxyl of (III) is then alkylated by iodomethane in the presence of NaOH to afford the target methyl ether.

Drug Information Express,Drug R&D,Chemical Database,Patent Search.
Copyright © 2006-2026 Drug Future. All rights reserved.Contact Us