【药物名称】VL-0395
化学结构式(Chemical Structure):
参考文献No.708710
标题:Anthranilic acid derivatives: A new class of non-peptide CCK1 receptor antagonists
作者:Varnavas, A.; Lassiani, L.; Valenta, V.; Berti, F.; Mennuni, L.; Makovec, F.
来源:Bioorg Med Chem 2003,11(5),741
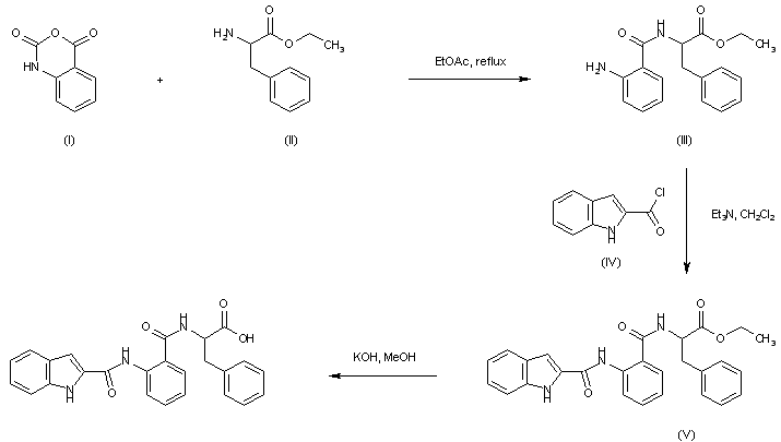
合成路线图解说明:

Condensation of isatoic anhydride (I) with DL-phenylalanine ethyl ester (II) affords anthranilamide (III). Subsequent acylation of amino amide (III) with indole-2-carbonyl chloride (IV) provides diamide (V). The ethyl ester group of (V) is finally hydrolyzed to the target carboxylic acid with methanolic KOH

Drug Information Express,Drug R&D,Chemical Database,Patent Search.
Copyright © 2006-2026 Drug Future. All rights reserved.Contact Us