【药物名称】
化学结构式(Chemical Structure):
参考文献No.64849
标题:C12-cyano epothilone derivs.
作者:Vite, G.D.; Regueiro-Ren, A. (Bristol-Myers Squibb Co.)
来源:US 2003186965; WO 0377903
合成路线图解说明:

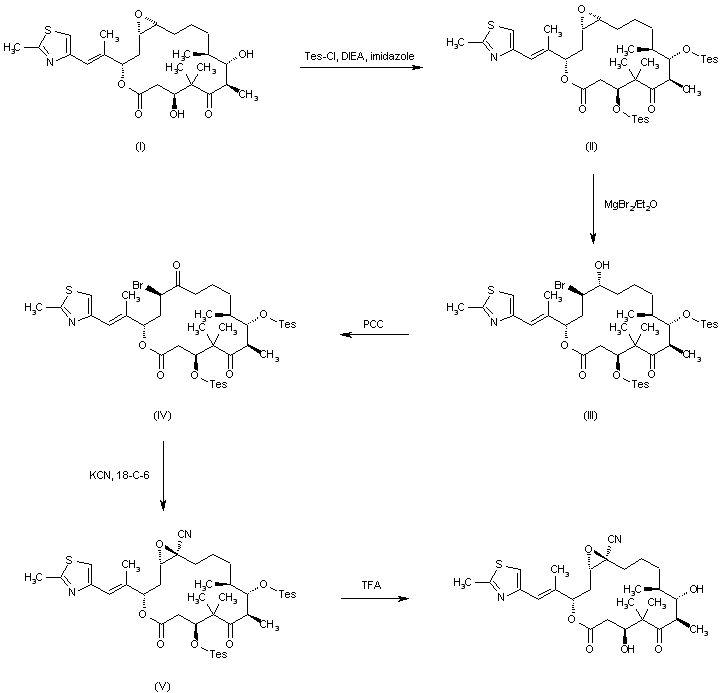
The reaction of epothilone A (I) with Tes-Cl, DIEA and imidazole in DMF gives the silylated compound (II), which is treated with MgBr2/Et2O in dichloromethane to attain the opening of the epoxide ring, yielding the bromohydrin (III). The oxidation of (III) with PCC in pyridine affords the bromoketone (IV), which by reaction with KCN and 18-C-6 in THF produces the silylated cyano-substituted epothilone A (V). Finally, this compound is desilylated by means of TFA in dichloromethane to yield the target cyano-epothilone A. (1,2)

参考文献No.707390
标题:SAR and pH stability of cyano-substituted epothilones
作者:Regueiro-Ren, A.; Leavitt, K.; Kim, S.-H.; Hofle, G.; Kiffe, M.; Gougoutas, J.Z.; DiMarco, J.D.; Lee, F.Y.F.; Fairchild, C.R.; Byron, H.L.; Vite, G.D.
来源:Org Lett 2002,4(22),3815
合成路线图解说明:

The reaction of epothilone A (I) with Tes-Cl, DIEA and imidazole in DMF gives the silylated compound (II), which is treated with MgBr2/Et2O in dichloromethane to attain the opening of the epoxide ring, yielding the bromohydrin (III). The oxidation of (III) with PCC in pyridine affords the bromoketone (IV), which by reaction with KCN and 18-C-6 in THF produces the silylated cyano-substituted epothilone A (V). Finally, this compound is desilylated by means of TFA in dichloromethane to yield the target cyano-epothilone A. (1,2)

Drug Information Express,Drug R&D,Chemical Database,Patent Search.
Copyright © 2006-2026 Drug Future. All rights reserved.Contact Us