【药物名称】
化学结构式(Chemical Structure):
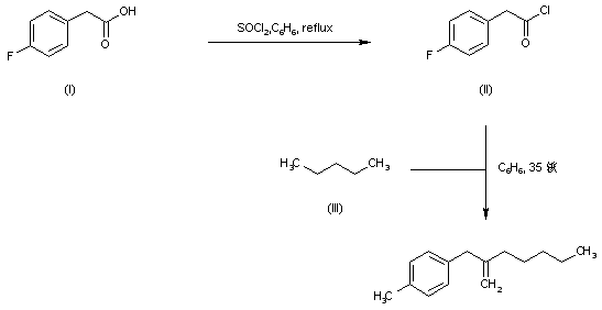
参考文献No.706773
标题:4-Fluoro-N-butylphenylacetamide: A synthetic phenylacetate derivative that upregulates Bcl-X-S, activates caspase cascade and induces apoptosis in human squamous lung cancer CH27 cells
作者:Chan, H.C.; Kuo, S.C.; Liu, S.C.; Liu, C.H.; Hsu, S.L.
来源:Cancer Lett 2002,186(2),211
合成路线图解说明:

4-Fluorophenylacetic acid (I) is chlorinated by means of SOCl2 in refluxing benzene. The resultant acid chloride (II) is then reacted with butylamine (III) to produce the target amide

Drug Information Express,Drug R&D,Chemical Database,Patent Search.
Copyright © 2006-2026 Drug Future. All rights reserved.Contact Us